ÌâÄ¿ÄÚÈÝ
ÈçͼËùʾ£¬Ë®Æ½ÃæÉϵÄOµã´¦²¢·Å×ÅABÁ½¸öÎïÌ壬ÔÚAµÄ×ó²à¾àA¾àÀëΪx´¦ÓÐÒ»ÊúÖ±µ²°å£¬ABÖ®¼äÓÐÉÙÁ¿µÄÕ¨Ò©£¬±¬Õ¨ºóBÒÔv2=2m/sµÄËÙ¶ÈÏòÓÒ×öÔȼõËÙÔ˶¯£¬Ö±µ½¾²Ö¹£® AÒÔv1=4m/sµÄËÙÂÊÏò×óÔ˶¯£¬Ô˶¯µ½µ²°åºóÓëµ²°å·¢Éúʱ¼ä¼«¶ÌµÄÅöײ£¬ÅöײºóÒÔÅöײǰµÄËÙÂÊ·µ»Ø£¬ÒÑÖªABÔÚÔ˶¯¹ý³ÌÖмÓËÙ¶È´óС¾ùΪa=1m/s2£¬·½ÏòÓëÎïÌåµÄÔ˶¯·½ÏòʼÖÕÏà·´£¬ABÁ½ÎïÌå¾ùÊÓΪÖʵ㣮¼ÆË㣺£¨1£©xÂú×ãʲôÌõ¼þ£¬AÎïÌå¸ÕºÃÄÜÔ˶¯µ½µ²°å´¦£®
£¨2£©xÂú×ãʲôÌõ¼þ£¬AÎïÌå¸ÕºÃÄÜ»ØOµã£®
£¨3£©xÂú×ãʲôÌõ¼þʱ£¬AÎïÌåÄÜ×·ÉÏBÎïÌ壮
¡¾´ð°¸¡¿·ÖÎö£º£¨1£©ÎïÌå¸ÕºÃÄÜÔ˶¯µ½µ²°å´¦Ê±ËÙ¶ÈΪ0£¬¸ù¾ÝÎ»ÒÆ-Ëٶȹ«Ê½¼´¿ÉÇó½â£»
£¨2£©·ÖÁ½¸ö¹ý³ÌÔ˶¯Î»ÒÆ-Ëٶȹ«Ê½¼´¿ÉÇó½â£»
£¨3£©ÏÈÇó³öAÎïÌåÄÜÔ˶¯µÄ×Ü·³ÌsºÍBÔ˶¯µÄÎ»ÒÆx£¬¸ù¾Ý2x+x¡Üs¼´¿ÉÇó½â£®
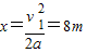
½â´ð£º½â£º£¨1£©AÎïÌå¸ÕºÃÄÜÔ˶¯µ½µ²°å´¦Ê±ËÙ¶ÈΪ0£¬
¸ù¾Ý0-v12=-2ax
µÃ£º
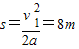
£¨2£©ÉèAÎïÌåÔ˶¯µ½µ²°åʱµÄËÙ¶È´óСΪv£¬
ÔòÓÐv2-v12=-2ax£¨3£©
0-v2=-2ax£¨4£©
ÓÉ£¨3£©£¨4£©Ê½¿ÉµÃ
£¨5£©
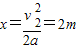
£¨3£©AÎïÌåÄÜͨ¹ýµÄ×Ü·³ÌΪ
BÎïÌåÄÜÔ˶¯µÄ¾àÀëΪ
×·ÉÏʱBÎïÌåÒѾ¾²Ö¹2x+x=s
½âµÃx=3m
ËùÒÔµ±x¡Ü3mʱAÎïÌåÄÜ×·ÉÏBÎïÌ壮
´ð£º£¨1£©µ±x=8mʱ£¬AÎïÌå¸ÕºÃÄÜÔ˶¯µ½µ²°å´¦£®
£¨2£©µ±x=4mʱ£¬AÎïÌå¸ÕºÃÄÜ»ØOµã£®
£¨3£©µ±x¡Ü3mʱAÎïÌåÄÜ×·ÉÏBÎïÌ壮
µãÆÀ£º±¾Ì⿼²éÁËÔȱäËÙÖ±ÏßÔ˶¯Î»ÒÆ-ʱ¼ä¹«Ê½µÄÖ±½ÓÓ¦Óã¬ÄѶȲ»´ó£¬ÊôÓÚ»ù´¡Ì⣮
£¨2£©·ÖÁ½¸ö¹ý³ÌÔ˶¯Î»ÒÆ-Ëٶȹ«Ê½¼´¿ÉÇó½â£»
£¨3£©ÏÈÇó³öAÎïÌåÄÜÔ˶¯µÄ×Ü·³ÌsºÍBÔ˶¯µÄÎ»ÒÆx£¬¸ù¾Ý2x+x¡Üs¼´¿ÉÇó½â£®
½â´ð£º½â£º£¨1£©AÎïÌå¸ÕºÃÄÜÔ˶¯µ½µ²°å´¦Ê±ËÙ¶ÈΪ0£¬
¸ù¾Ý0-v12=-2ax
µÃ£º
£¨2£©ÉèAÎïÌåÔ˶¯µ½µ²°åʱµÄËÙ¶È´óСΪv£¬
ÔòÓÐv2-v12=-2ax£¨3£©
0-v2=-2ax£¨4£©
ÓÉ£¨3£©£¨4£©Ê½¿ÉµÃ
£¨3£©AÎïÌåÄÜͨ¹ýµÄ×Ü·³ÌΪ
BÎïÌåÄÜÔ˶¯µÄ¾àÀëΪ
×·ÉÏʱBÎïÌåÒѾ¾²Ö¹2x+x=s
½âµÃx=3m
ËùÒÔµ±x¡Ü3mʱAÎïÌåÄÜ×·ÉÏBÎïÌ壮
´ð£º£¨1£©µ±x=8mʱ£¬AÎïÌå¸ÕºÃÄÜÔ˶¯µ½µ²°å´¦£®
£¨2£©µ±x=4mʱ£¬AÎïÌå¸ÕºÃÄÜ»ØOµã£®
£¨3£©µ±x¡Ü3mʱAÎïÌåÄÜ×·ÉÏBÎïÌ壮
µãÆÀ£º±¾Ì⿼²éÁËÔȱäËÙÖ±ÏßÔ˶¯Î»ÒÆ-ʱ¼ä¹«Ê½µÄÖ±½ÓÓ¦Óã¬ÄѶȲ»´ó£¬ÊôÓÚ»ù´¡Ì⣮
Á·Ï°²áϵÁдð°¸
Ïà¹ØÌâÄ¿