题目内容

(15分)如图所示,R为电阻箱,电压表为理想电压表.当电阻箱读数为R1=2Ω时,电压表读数为U1=4V;当电阻箱读数为R2=5Ω时,电压表读数为U2=5V.求:

(1)电源的电动势E和内阻r

(2)当电阻箱R读数为多少时,电源的输出功率最大?最大值Pm为多少?

 

【答案】

(1)(2)当时,

【解析】

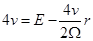
试题分析:(1)根据闭合电路欧姆定律有,带入数据即:

联立上面两个方程可解得

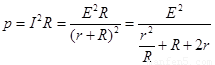
(2)外电路的电功率

根据可判断当时,外电路功率最大,最大功率

考点:闭合电路欧姆定律 电功率

 

练习册系列答案
相关题目

违法和不良信息举报电话:027-86699610 举报邮箱:58377363@163.com

精英家教网