题目内容

如图所示,A为一具有光滑曲面的固定轨道,轨道底端是水平的,质量M=40 kg的上车B静止于轨道右侧,其板面与轨道底端靠近且在同一水平面上,一个质量m=20 kg,可视为质点的小滑块C以v1=2.0 m/s的初速度从轨道顶端滑下,C冲上小车B后,经一段时间与小车相对静止并继续一起运动.若轨道顶端与底端水平面的高度差为h=0.8 m,C与小车板面间的动摩擦因数为μ=0.40,小车与水平面间的摩擦不计,g取10 m/s2.求

(1)C与小车保持相对静止时的速度大小.

(2)从C冲上小车瞬间到与小车相对静止瞬间所用的时间.

(3)C冲上小车后相对于小车板面滑动的距离.

答案:
解析:

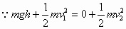
  (1)下滑过程中机械能守恒,设C滑至轨道底端时的速度大小为

  (2分)

  (1分)

  相互作用过程中动量守恒,设相对静止时的速度为,有(2分)

  (1分)

  (2)对小车 由动量定理有(2分)

  (1分)

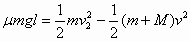
  (3)由能量守恒定律有(2分)

  (1分)


练习册系列答案
相关题目

违法和不良信息举报电话:027-86699610 举报邮箱:58377363@163.com

精英家教网