题目内容

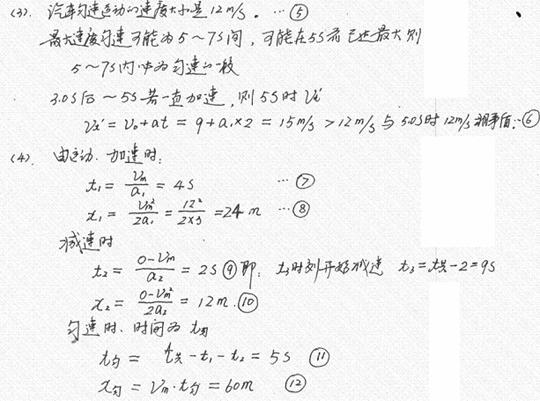
(13分)一辆汽车从静止开始匀加速开出,然后保持匀速运动,最后匀减速运动,直到停止.下表给出了不同时刻汽车的速度:

时刻/s

1.0

2.0

3.0

5.0

7.0

9.5

10.5

速度/m·s-1

3

6

9

12

12

9

3

 (1)求汽车做加速运动时的加速度和减速运动时的加速度?

(2)汽车从开出到停止共经历的时间是多少?

(3)汽车做匀速运动时的速度大小是否为12 m/s,试说明理由。

(4)汽车通过的总路程是多少?

 

 

【答案】

 

 

 

 

 

 

 

 

 

 

 

 

 

 

 

 

 

 【解析】略

 

练习册系列答案
相关题目

违法和不良信息举报电话:027-86699610 举报邮箱:58377363@163.com

精英家教网