ÌâÄ¿ÄÚÈÝ

ÈçͼËùʾ£¬ÔÚ×ø±êϵxoyÆ½ÃæµÄµÚ¢ñÏóÏÞÄÚ´æÔÚ´¹Ö±Ö½ÃæÏòÍâµÄÔÈÇ¿´Å³¡B1£¬ÔÚµÚ¢ôÏóÏÞÄÚ´æÔÚ´¹Ö±Ö½ÃæÏòÀïµÄÁíÒ»¸öÔÈÇ¿´Å³¡B2£¬ÔÚxÖáÉÏÓÐÒ»µãQ(£¬0)¡¢ÔÚyÖáÉÏÓÐÒ»µãP(0£¬a)£®ÏÖÓÐÒ»ÖÊÁ¿Îªm£¬µçÁ¿Îª£«qµÄ´øµçÁ£×Ó(²»¼ÆÖØÁ¦)£¬´ÓPµã´¦´¹Ö±yÖáÒÔËÙ¶Èv0ÉäÈëÔÈÇ¿´Å³¡B1ÖУ¬²¢ÒÔÓëxÖáÕýÏò³É60¡ã½ÇµÄ·½Ïò½øÈëxÖáÏ·½µÄÔÈÇ¿´Å³¡B2ÖУ¬ÔÚB2ÖÐÆ«×ªºó¸ÕºÃ´òÔÚQµã£®Çó£º

(1)ÔÈÇ¿´Å³¡µÄ´Å¸ÐӦǿ¶ÈB1¡¢B2µÄ´óС£»

(2)Á£×Ó´ÓPµãÔ˶¯µ½QµãËùÓõÄʱ¼ä£®

´ð°¸£º
½âÎö£º

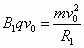
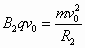
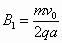
¡¡¡¡(1)ÉèÁ£×ÓÔڴų¡B1ÓëB2Öа뾶·Ö±ðΪR1ÓëR2

¡¡¡¡a)µÃ¡¡2·Ö

¡¡¡¡¡¡2·Ö

¡¡¡¡µÃ¡¡1·Ö

¡¡¡¡b)µÃ¡¡2·Ö

¡¡¡¡¡¡1·Ö

¡¡¡¡µÃ¡¡1·Ö

¡¡¡¡(2)¡¡4·Ö


Á·Ï°²áϵÁдð°¸
Ïà¹ØÌâÄ¿

Î¥·¨ºÍ²»Á¼ÐÅÏ¢¾Ù±¨µç»°£º027-86699610 ¾Ù±¨ÓÊÏ䣺58377363@163.com

¾«Ó¢¼Ò½ÌÍø