题目内容
如图甲所示,abcd是位于竖直平面内的正方形闭合金属线框,金属线框的质量为m,电阻为R在金属线框的下方有一匀强磁场区域,MN和PQ是匀强磁场区域的水平边界,并与 线框的bc边平行,磁场方向垂直于线框平面向里.现使金属线框从MN上方某一髙度处由 静止开始下落,如图乙是金属线框由开始下落到完全穿过匀强磁场区域瞬间的v-t图象,图象中内均为已知量.重力加速度为g不计空气阻力.下列说法正确的是( )A.金属线框刚进入磁场时感应电流方向沿adcba方向
B.金属线框的边长为v1(t2-t1)
C.磁场的磁感应强度为
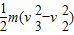
D.金属线框在O-t4的时间内所产生的热量为mgv1(t2-t1)+
【答案】分析:本题应抓住:
(1)根据楞次定律判断感应电流的方向;
(2)由图象可知,金属框进入磁场过程中是做匀速直线运动,根据时间和速度求解金属框的边长;
(2)由图知,金属线框进入磁场做匀速直线运动,重力和安培力平衡,可求出B.
(3)由能量守恒定律求出热量.
解答:解:A、金属线框刚进入磁场时,根据楞次定律判断可知,感应电流方向沿abcda方向.故A错误.
B、由图象可知,金属框进入磁场过程中是做匀速直线运动,速度为v1,运动时间为t2-t1所以金属框的边长:l=v1(t2-t1).故B正确.
C、在金属框进入磁场的过程中,金属框所受安培力等于重力:
mg=BIl
I=
又l=v1(t2-t1).
联立解得:B=
.故C正确.
D、金属框在进入磁场过程中金属框产生的热为Q1,重力对其做正功,安培力对其做负功,由能量守恒定律得:
Q1=mgl=mgv1(t2-t1)
金属框在离开磁场过程中金属框产生的热为Q2,重力对其做正功,安培力对其做负功,由能量守恒定律得:
故Q总=Q1+Q2=2mgv1(t2-t1)+
.故D错误.
故选BC
点评:本题电磁感应与力学知识简单的综合,培养识别、理解图象的能力和分析、解决综合题的能力.
(1)根据楞次定律判断感应电流的方向;
(2)由图象可知,金属框进入磁场过程中是做匀速直线运动,根据时间和速度求解金属框的边长;
(2)由图知,金属线框进入磁场做匀速直线运动,重力和安培力平衡,可求出B.
(3)由能量守恒定律求出热量.
解答:解:A、金属线框刚进入磁场时,根据楞次定律判断可知,感应电流方向沿abcda方向.故A错误.
B、由图象可知,金属框进入磁场过程中是做匀速直线运动,速度为v1,运动时间为t2-t1所以金属框的边长:l=v1(t2-t1).故B正确.
C、在金属框进入磁场的过程中,金属框所受安培力等于重力:
mg=BIl
I=
又l=v1(t2-t1).
联立解得:B=
D、金属框在进入磁场过程中金属框产生的热为Q1,重力对其做正功,安培力对其做负功,由能量守恒定律得:
Q1=mgl=mgv1(t2-t1)
金属框在离开磁场过程中金属框产生的热为Q2,重力对其做正功,安培力对其做负功,由能量守恒定律得:
故Q总=Q1+Q2=2mgv1(t2-t1)+
故选BC
点评:本题电磁感应与力学知识简单的综合,培养识别、理解图象的能力和分析、解决综合题的能力.
练习册系列答案
相关题目