题目内容

(12分)小明站在水平地面上,手握不可伸长的轻绳一端,绳的另一端系有质量为m的小球,甩动手腕,使球在竖直平面内做圆周运动。当球某次运动到最低点时,绳突然断掉,球飞行水平距离d后落地,如右图所示.已知握绳的手离地面高度为d,手与球之间的绳长为,重力加速度为g。忽略手的运动半径和空气阻力。

(1)求绳断时球的速度大小v    

(2)问绳能承受的最大拉力多大?

(3)改变绳长,使球重复上述运动,若绳仍在球运动到最低点时断掉,且绳的最大承受力不变,要使球抛出的水平距离最大,绳长应为多少?最大水平距离为多少?

 

【答案】

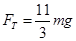
(1);(2); (3)

【解析】

试题分析:设绳断后球飞行时间为t,

由平抛运动规律,有d -d=gt2     (1分)

水平方向d=vt     (1分)

联立解得v=        (1分)

(2)设绳能承受的最大拉力大小为,这也是球受到绳的最大拉力大小

球做圆周运动的半径为     (1分)

由圆周运动向心力公式,有      (1分)

联立解得:      (1分)

(3)设绳长为L,绳断时球的速度大小为,绳承受的电大拉力不变,

     (2分)

绳断后球做平抛运动,是竖直位移为d-L,水平位移为x,时间为t1

    (2分)

     (1分)

时,x有极大值    (1分)

考点:平抛运动,匀速度圆周运动,

 

练习册系列答案
相关题目

违法和不良信息举报电话:027-86699610 举报邮箱:58377363@163.com

精英家教网