题目内容
如图所示,一束单色光由空气照射到厚玻璃板上(入射角i小于90°).关于光在玻璃中的传播时间,下列说法正确的是( )A.随入射角i的增大而增大
B.随入射角i的增大而减小
C.入射角i不变,随入射光频率的增大而增大
D.入射角i不变,随入射光频率的增大而减小
【答案】分析:根据折射定律求出折射角,由数学知识得到光在玻璃中传播的距离与折射角、玻璃厚度的关系.光在玻璃中传播的速度v=
,联立得到光在玻璃中的传播时间的关系式,再进行分析.入射光频率的增大,玻璃对光的折射率增大,结合时间表达式进行分析.
解答:解:A、B设玻璃的厚度为d,折射角为r,由n=
得:sinr=
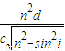
则光在玻璃中传播的距离为:s=
=
=
,
光在玻璃中传播的速度v=
,则光在玻璃中的传播时间为:t=
=
可见,当入射角i增大时,sini增大,其他量不变,则t增大.故A正确,B错误.
C、D入射光频率的增大时,玻璃对光的折射率n增大,根据数学知识分析得知,t增大.故C正确,D错误.
故选AC
点评:本题是涉及折射率的两大公式n=
和n=
综合应用,同时要运用几何关系研究光在玻璃中传播的距离与玻璃厚度的关系,是常用的思路.
解答:解:A、B设玻璃的厚度为d,折射角为r,由n=
则光在玻璃中传播的距离为:s=
光在玻璃中传播的速度v=
可见,当入射角i增大时,sini增大,其他量不变,则t增大.故A正确,B错误.
C、D入射光频率的增大时,玻璃对光的折射率n增大,根据数学知识分析得知,t增大.故C正确,D错误.
故选AC
点评:本题是涉及折射率的两大公式n=
练习册系列答案
相关题目