题目内容
2007年10月24日,我国发射的“嫦娥一号”探月卫星简化后的路线示意图如图所示.卫星由地面发射后,经过发射轨道进入停泊轨道,然后在停泊轨道经过调速后进入地月转移轨道,再次调速后进入工作轨道,卫星开始对月球进行探测.已知卫星的停泊轨道与工作轨道的半径之比为a,卫星在停泊轨道和工作轨道运行的周期之比为b,卫星在停泊轨道和工作轨道上均可视为做匀速圆周运动,则( )A.地球与月球的质量之比为
B.卫星在停泊轨道和工作轨道运行的线速度之比为
C.卫星在停泊轨道运行的速度小于地球的第一宇宙速度
D.卫星在停泊轨道转移到地月转移轨道,卫星必须加速
【答案】分析:根据万有引力提供向心力
,列出等式即可求出所求物理量.第一宇宙速度的轨道半径时地球的半径,轨道半径越大,线速度越小,第一宇宙速度是绕地球做圆周运动的最大环绕速度.
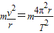
解答:解:A、卫星的停泊轨道绕地球做匀速圆周运动,则有:
…①
在工作轨道上绕月球做匀速圆周运动,则有:
… ②
由①②式解得:
,故A正确;
B、根据
解得:v=
,所以
,故B错误;
C、第一宇宙速度是贴着地球表面做匀速圆周运动的速度,半径越大,线速度越小,在停泊轨道上运行的速度小于第一宇宙速度.故C正确.
D、从停泊轨道进入到地月转移轨道,卫星必须加速,使万有引力不够提供向心力,而做离心运动.故D正确.
故选ABD.
点评:解决本题的关键掌握万有引力提供向心力
,以及理解第一宇宙速度.
解答:解:A、卫星的停泊轨道绕地球做匀速圆周运动,则有:
在工作轨道上绕月球做匀速圆周运动,则有:
由①②式解得:
B、根据
C、第一宇宙速度是贴着地球表面做匀速圆周运动的速度,半径越大,线速度越小,在停泊轨道上运行的速度小于第一宇宙速度.故C正确.
D、从停泊轨道进入到地月转移轨道,卫星必须加速,使万有引力不够提供向心力,而做离心运动.故D正确.
故选ABD.
点评:解决本题的关键掌握万有引力提供向心力
练习册系列答案
相关题目