题目内容
某星球的半径是地球半径的m倍,密度是地球密度的n倍,则物体在该星球表面的重力加速度是在地球表面的重力加速度的
[ ]
|
A . |
B . |
|
C .m·n倍 |
D . |
答案:C
解析:
解析:
|
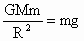
星球表面重力等于万有引力,即
|
练习册系列答案
相关题目
题目内容
某星球的半径是地球半径的m倍,密度是地球密度的n倍,则物体在该星球表面的重力加速度是在地球表面的重力加速度的
[ ]
|
A . |
B . |
|
C .m·n倍 |
D . |
|
星球表面重力等于万有引力,即
|