题目内容
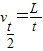
光滑斜面的长度为L,一物体自斜面顶端由静止开始匀加速滑至底端,经历的时间为t,则下列说法正确的是( )A.物体在中间时刻的瞬时速度是
B.物体运动到斜面中点时瞬时速度是
C.物体运动到斜面中点所需的时间是
D.物体运动到斜面底端的速度是
【答案】分析:AD、匀变速直线运动,在某段时间内的平均速度等于中间时刻的瞬时速度.
求出中间时刻的速度,同时求出末速度.
B、根据匀变速直线运动的速度位移公式
推导中间位置的瞬时速度.
C、根据初始度为零的匀变速直线运动公式x=
,求出物体运动到斜面中点所需的时间.
解答:解:A、匀变速直线运动,在某段时间内的平均速度等于中间时刻的瞬时速度,所以
.又
,所以末速度为
.故A错误,D正确.
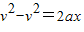
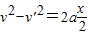
B、设末速度为v,中间位置的速度为v′,有
,
,联立两式得,
,又
,所以
.故B正确.
C、初速度为零的匀变速直线运动x=
,
,则
.故C错误.
故选BD.
点评:解决本题的关键掌握匀变速直线运动的位移时间公式、速度位移公式以及平均速度公式,能够灵活运用.
B、根据匀变速直线运动的速度位移公式
C、根据初始度为零的匀变速直线运动公式x=
解答:解:A、匀变速直线运动,在某段时间内的平均速度等于中间时刻的瞬时速度,所以
B、设末速度为v,中间位置的速度为v′,有
C、初速度为零的匀变速直线运动x=
故选BD.
点评:解决本题的关键掌握匀变速直线运动的位移时间公式、速度位移公式以及平均速度公式,能够灵活运用.
练习册系列答案
相关题目
光滑斜面的长度为L,一物体自斜面顶端由静止开始匀加速滑至底端,经历的时间为t,则下列说法不正确的是( )
A、物体在
| ||||
B、物体运动到斜面中点时瞬时速度是
| ||||
C、物体从顶点运动到斜面中点所需的时间是
| ||||
D、物体运动全过程中的平均速度是
|