题目内容

如图所示,传送带保持1 m/s的速度顺时针转动。现将一质量m=0.5 kg的物体轻轻地放在传送带的a点上,设物体与传送带间的动摩擦因数μ=0.1,a、b间的距离L=2.5 m,则物体从a点运动到b点所经历的时间为 (g取10 m/s2)

A.s     B.(-1) s

C.3 s      D.2.5 s

 

【答案】

C

【解析】

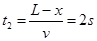
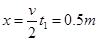
试题分析:物体在传送带上运动的加速度为 ,加速到与传送带共速的时间为 ,加速的距离为 ,以后物体随传送带匀速运动的时间为 ,则物体从a点运动到b点所经历的时间为3s.选项C正确。

考点:牛顿定律及运动公式的应用。

 

练习册系列答案
相关题目

违法和不良信息举报电话:027-86699610 举报邮箱:58377363@163.com

精英家教网