ÌâÄ¿ÄÚÈÝ
ÔÚ×ö¡°ÀûÓõ¥°Ú²âÖØÁ¦¼ÓËÙ¶È¡±µÄʵÑéÖУ¬Ä³Í¬Ñ§²âµÃ°ÚÏß³¤Îª89.20cm£¬ÓÃÓα꿨³ß²âµÃ°ÚÇòÖ±¾¶ÈçͼËùʾ£¬È»ºóÓÃÃë±í¼Ç¼Á˵¥°Ú×ö30´ÎÈ«Õñ¶¯µÄʱ¼ä£®£¨1£©¸Ãµ¥°ÚµÄ°Ú³¤Îª cm£»
£¨2£©Èç¹û¸Ãͬѧ²âµÃµÄgֵƫС£¬¿ÉÄܵÄÔÒòÊÇ £¨ÌîÐòºÅ¼´¿É£©
A£®ÓÃÏß³¤µ±×÷°Ú³¤
B£®¿ªÊ¼¼ÆÊ±£¬Ãë±í¹ý³Ù°´ÏÂ
C£®ÊµÑéÖÐÎó½«29´ÎÈ«Õñ¶¯ÊýΪ30´Î
£¨3£©ÎªÁËÌá¸ßʵÑ龫¶È£¬ÔÚʵÑéÖпɸı伸´Î°Ú³¤l£¬
²â³öÏàÓ¦µÄÖÜÆÚT£¬´Ó¶øµÃ³öÒ»×é¶ÔÓ¦µÄlÓëTµÄÊýÖµ£¬
ÔÙÒÔlΪºá×ø±ê£¬T2Ϊ×Ý×ø±ê£¬½«ËùµÃÊý¾ÝÁ¬³ÉÖ±Ïß
ÈçͼËùʾ£¬Ôò²âµÃÖØÁ¦¼ÓËÙ¶Èg= m/s2£®
£¨±£ÁôÈýλÓÐЧÊý×Ö£©
¡¾´ð°¸¡¿·ÖÎö£º£¨1£©Óα꿨³ßÖ÷³ßʾÊýÓëÓαê³ßʾÊýÖ®ºÍÊÇÓα꿨³ßµÄʾÊý£¬¸ù¾Ýͼ1Ëùʾȷ¶¨Óα꿨³ßµÄ¾«¶È£¬È»ºó¶Á³öÓα꿨³ßµÄʾÊý£®°ÚÏß³¤¶ÈÓë°ÚÇò°ë¾¶Ö®ºÍÊǵ¥°ÚµÄ°Ú³¤£®
£¨2£©Óɵ¥°ÚÖÜÆÚ¹«Ê½£¬Çó³öÖØÁ¦¼ÓËٶȵıí´ïʽ£¬¸ù¾ÝÖØÁ¦¼ÓËٶȵıí´ïʽ£¬·ÖÎöÖØÁ¦¼ÓËٶȲâÁ¿ÖµÆ«Ð¡µÄÔÒò£®
£¨3£©Óɵ¥°ÚÖÜÆÚ¹«Ê½Çó³öT2ÓëLµÄ±í´ïʽ£¬ÓÉͼÏóÇó³öбÂÊ£¬È»ºóÇó³öÖØÁ¦¼ÓËÙ¶È£®
½â´ð£º½â£º£¨1£©ÓÉͼËùʾÓα꿨³ß¿ÉÖª£¬Ö÷³ßʾÊýÊÇ2cm£¬Óαê³ßʾÊýÊÇ10×0.05mm=0.5mm=0.05cm£¬
Óα꿨³ßʾÊý£¬¼´°ÚÇòµÄÖ±¾¶Îª2cm+0.05cm=2.05cm£»
µ¥°Ú°Ú³¤L=l+
=89.20cm+
=90.225cm£®
£¨2£©ÓÃÃë±í²â³öµ¥°ÚÍê³Én´ÎÈ«Õñ¶¯µÄʱ¼ät£¬Ôòµ¥°ÚµÄÖÜÆÚT=
£»
µ¥°Ú°Ú³¤µÈÓÚ°ÚÏß³¤¶ÈlÓë°ÚÇòµÄ°ë¾¶rÖ®ºÍ£¬¼´L=l+r£»
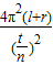
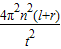
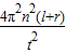
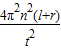
Óɵ¥°ÚÖÜÆÚ¹«Ê½T=2¦Ð
£¬¿ÉÖªÖØÁ¦¼ÓËÙ¶È£ºg=
=
=
£¬
A¡¢ÓðÚÏß³¤µ±×÷°Ú³¤£¬°Ú³¤Æ«Ð¡£¬ÓÉg=
¿ÉÖª£ºÖØÁ¦¼ÓËٶȵIJâÁ¿ÖµÆ«Ð¡£¬·ûºÏÌâÒ⣬¹ÊAÕýÈ·£»
B¡¢¿ªÊ¼¼ÆÊ±£¬Ãë±í¹ý³Ù°´Ï£¬Ëù²âʱ¼ätƫС£¬ÓÉg=
¿ÉÖª£¬Ëù²âÖØÁ¦¼ÓËÙ¶ÈÆ«´ó£¬²»·ûºÏÌâÒ⣬¹ÊB´íÎó£»
C¡¢ÊµÑéÖÐÎó½«29´ÎÈ«Õñ¶¯ÊýΪ30´Î£¬nÆ«´ó£¬ÓÉg=
¿ÉÖªËù²âÖØÁ¦¼ÓËÙ¶ÈÆ«´ó£¬²»·ûºÏÌâÒ⣬¹ÊC´íÎó£»
£¨3£©Óɵ¥°ÚÖÜÆÚ¹«Ê½T=2¦Ð
¿ÉµÃ£¬T2=
L£¬ÓÉ´Ë¿ÉÖªT2ÓëL³ÉÕý±È£¬Òò´ËT2-LͼÏóбÂÊk=
£¬ÓÉͼÏó¿ÉÖª£¬
ͼÏóбÂÊk=4s2/m£¬ÔòÖØÁ¦¼ÓËÙ¶Èg=
=
m/s2¡Ö9.86m/s2£»
¹Ê´ð°¸Îª£º£¨1£©90.225£»£¨2£©A£»£¨3£©9.86£®
µãÆÀ£º£¨1£©¶ÔÓα꿨³ß¶ÁÊýʱ£¬ÒªÏÈÈ·¶¨Óα꿨³ßµÄ¾«¶È£¬È»ºó¶Á³öÖ÷³ßʾÊýÓëÓαê³ßʾÊý£¬×îºóÇó³öÓα꿨³ßµÄʾÊý£®
£¨2£©±¾Ì⿼²éÁ˵¥°Ú²âÖØÁ¦¼ÓËÙ¶ÈʵÑéµÄÎó²î·ÖÎö£¬ÓÐÒ»¶¨µÄÄѶȣ»Óɵ¥°ÚÖÜÆÚ¹«Ê½Çó³ölÓëT2µÄ¹ØÏµÊ½£¬ÊÇÕýÈ·½âÌâµÄ¹Ø¼ü£®
£¨3£©Óɵ¥°ÚÖÜÆÚ¹«Ê½Çó³öT2ÓëLµÄ±í´ïʽ£¬ÓÉͼÏóÇó³öͼÏóµÄбÂÊ£¬¼´¿ÉÇó³öÖØÁ¦¼ÓËÙ¶È£®
£¨2£©Óɵ¥°ÚÖÜÆÚ¹«Ê½£¬Çó³öÖØÁ¦¼ÓËٶȵıí´ïʽ£¬¸ù¾ÝÖØÁ¦¼ÓËٶȵıí´ïʽ£¬·ÖÎöÖØÁ¦¼ÓËٶȲâÁ¿ÖµÆ«Ð¡µÄÔÒò£®
£¨3£©Óɵ¥°ÚÖÜÆÚ¹«Ê½Çó³öT2ÓëLµÄ±í´ïʽ£¬ÓÉͼÏóÇó³öбÂÊ£¬È»ºóÇó³öÖØÁ¦¼ÓËÙ¶È£®
½â´ð£º½â£º£¨1£©ÓÉͼËùʾÓα꿨³ß¿ÉÖª£¬Ö÷³ßʾÊýÊÇ2cm£¬Óαê³ßʾÊýÊÇ10×0.05mm=0.5mm=0.05cm£¬
Óα꿨³ßʾÊý£¬¼´°ÚÇòµÄÖ±¾¶Îª2cm+0.05cm=2.05cm£»
µ¥°Ú°Ú³¤L=l+
£¨2£©ÓÃÃë±í²â³öµ¥°ÚÍê³Én´ÎÈ«Õñ¶¯µÄʱ¼ät£¬Ôòµ¥°ÚµÄÖÜÆÚT=
µ¥°Ú°Ú³¤µÈÓÚ°ÚÏß³¤¶ÈlÓë°ÚÇòµÄ°ë¾¶rÖ®ºÍ£¬¼´L=l+r£»
Óɵ¥°ÚÖÜÆÚ¹«Ê½T=2¦Ð
A¡¢ÓðÚÏß³¤µ±×÷°Ú³¤£¬°Ú³¤Æ«Ð¡£¬ÓÉg=
B¡¢¿ªÊ¼¼ÆÊ±£¬Ãë±í¹ý³Ù°´Ï£¬Ëù²âʱ¼ätƫС£¬ÓÉg=
C¡¢ÊµÑéÖÐÎó½«29´ÎÈ«Õñ¶¯ÊýΪ30´Î£¬nÆ«´ó£¬ÓÉg=
£¨3£©Óɵ¥°ÚÖÜÆÚ¹«Ê½T=2¦Ð
ͼÏóбÂÊk=4s2/m£¬ÔòÖØÁ¦¼ÓËÙ¶Èg=
¹Ê´ð°¸Îª£º£¨1£©90.225£»£¨2£©A£»£¨3£©9.86£®
µãÆÀ£º£¨1£©¶ÔÓα꿨³ß¶ÁÊýʱ£¬ÒªÏÈÈ·¶¨Óα꿨³ßµÄ¾«¶È£¬È»ºó¶Á³öÖ÷³ßʾÊýÓëÓαê³ßʾÊý£¬×îºóÇó³öÓα꿨³ßµÄʾÊý£®
£¨2£©±¾Ì⿼²éÁ˵¥°Ú²âÖØÁ¦¼ÓËÙ¶ÈʵÑéµÄÎó²î·ÖÎö£¬ÓÐÒ»¶¨µÄÄѶȣ»Óɵ¥°ÚÖÜÆÚ¹«Ê½Çó³ölÓëT2µÄ¹ØÏµÊ½£¬ÊÇÕýÈ·½âÌâµÄ¹Ø¼ü£®
£¨3£©Óɵ¥°ÚÖÜÆÚ¹«Ê½Çó³öT2ÓëLµÄ±í´ïʽ£¬ÓÉͼÏóÇó³öͼÏóµÄбÂÊ£¬¼´¿ÉÇó³öÖØÁ¦¼ÓËÙ¶È£®
Á·Ï°²áϵÁдð°¸
Ïà¹ØÌâÄ¿