题目内容

做匀加速直线运动的物体途中依次经过A、B、C三点,已知AB=BC=,AB段和BC段的平均速度分别为v1=3 m/s、v2=6 m/s,则

(1)物体经B点时的瞬时速度vB为多大?

(2)若物体运动的加速度a=2 m/s2,试求AC的距离l

答案:
解析:

  解:(1)设加速度大小为a,经A、C的速度大小分别为.据匀加速直线运动规律可得:

     

  联立可得:

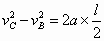
  (2)由上还可计算出:

  

  代入即可得

  


练习册系列答案
相关题目

违法和不良信息举报电话:027-86699610 举报邮箱:58377363@163.com

精英家教网