题目内容
如图所示,从倾角为θ的足够长的斜面上的A点先后将同一小球以不同初速度v1.v2水平抛出,小球落在斜面上时速度方向与斜面的夹角分别为α1、α2,若v1<v2,则( )A.α1<α2
B.α1>α2
C.α1=α2
D.无法比较
【答案】分析:平抛运动落在斜面上时,竖直方向的位移和水平方向上位移比值一定,根据该规律求出平抛运动的时间,从而求出落在斜面上时,速度与水平方向的夹角,速度方向与斜面的夹角等于速度与水平方向的夹角减去斜面的倾角.
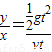
解答:解:tanθ=
解得:t=
.
则落在斜面上时竖直方向上的分速度vy=gt=2vtanθ.
设速度与水平方向的夹角为α,有
.知落在斜面上时,速度与水平方向的夹角与初速度无关,则小球与水平方向的夹角相同,因为速度方向与斜面的夹角等于速度与水平方向的夹角减去斜面的倾角,所以α1=α2.故C正确,A、B、D错误.
故选C.
点评:解决本题的关键掌握平抛运动的规律,知道平抛运动在水平方向上做匀速直线运动,在竖直方向上做自由落体运动.
解答:解:tanθ=
解得:t=
则落在斜面上时竖直方向上的分速度vy=gt=2vtanθ.
设速度与水平方向的夹角为α,有
故选C.
点评:解决本题的关键掌握平抛运动的规律,知道平抛运动在水平方向上做匀速直线运动,在竖直方向上做自由落体运动.
练习册系列答案
相关题目
| A、8J | B、12J | C、14J | D、16J |