搜索
题目内容
一艘宇宙飞船绕一个不知名的行星表面飞行,要测定该行星的密度,仅仅需要
[ ]
A.测定飞船的运行周期
B.测定飞船的环绕半径
C.测定行星的体积
D.测定飞船的运动速度
试题答案
相关练习册答案
答案:A
解析:
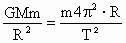
由
及
知
,故
A
对.
练习册系列答案
1加1阅读好卷系列答案
专项复习训练系列答案
初中语文教与学阅读系列答案
阅读快车系列答案
完形填空与阅读理解周秘计划系列答案
英语阅读理解150篇系列答案
奔腾英语系列答案
标准阅读系列答案
53English系列答案
考纲强化阅读系列答案
相关题目
一艘宇宙飞船绕一个不知名的行星表面飞行,要测定该行星的平均密度,仅仅需要( )
A.测定飞船的运行周期
B.测定飞船的环绕半径
C.测定行星的体积
D.测定飞船的运行速度
一艘宇宙飞船绕一个不知名的、半径为R的行星表面飞行,环绕一周飞行时间为T (万有引力常量为G),求:该行星的质量M和平均密度ρ
一艘宇宙飞船绕一个不知名的行星表面飞行,要测定该行星的密度,仅仅需要( )
A.运行周期T
B.环绕半径 r
C.行星的体积V
D.运行速度v
一艘宇宙飞船绕一个不知名的行星表面飞行一圈用时T时间,则该行星的密度,为
.
一艘宇宙飞船绕一个不知名的半径为R的行星表面飞行,环绕一周飞行时间为T,求该行星的质量和平均密度.
关 闭
试题分类
高中
数学
英语
物理
化学
生物
地理
初中
数学
英语
物理
化学
生物
地理
小学
数学
英语
其他
阅读理解答案
已回答习题
未回答习题
题目汇总
试卷汇总
练习册解析答案