ÌâÄ¿ÄÚÈÝ
ÈçͼËùʾ£¬ÔÚ×ã¹»´óµÄ¿Õ¼ä·¶Î§ÄÚ£¬Í¬Ê±´æÔÚ×Å ÊúÖ±ÏòÉϵÄÔÈÇ¿µç³¡ºÍ´¹Ö±Ö½ÃæÏòÀïµÄˮƽÔÈÇ¿´Å³¡£¬´Å¸ÐӦǿ¶ÈB=0.5¦Ð£¬£¨T£©£¬Ð¡Çò1´øÕýµç£¬ÆäµçºÉÁ¿ÓëÖÊÁ¿Ö®±ÈÎÊ£º
£¨1£©µç³¡Ç¿¶ÈEµÄ´óСÊǶàÉÙ£¿
£¨2£©´óÖ»³öÅöײºó1ºÍ2µÄÔ˶¯¹ì¼££¬²¢Ôڹ켣ÉÏÓüýÍ·±ê³ö1ºÍ2µÄÔ˶¯·½Ïò
£¨3£©Á½Ð¡ÇòµÄÖÊÁ¿Ö®±È
¡¾´ð°¸¡¿·ÖÎö£º£¨1£©¸ù¾ÝСÇò1ÊÜÁ¦Æ½ºâÁÐʽÇó½â£»
£¨2£©ÅöײºóÄÜÔÙ´ÎÏàÅö£¬¹ÊСÇò1·´µ¯£¬·ñÔòÂåÂ××ÈÁ¦ÏòÉÏ£¬Ð¡Çò1ÏòÉÏÆ«£¬Ð¡Çò2ƽÅ×£¬²»»áÔÙÅö£»
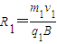
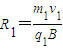
½â´ð£º½â£º£¨1£©Ð¡Çò1ËùÊܵÄÖØÁ¦Óëµç³¡Á¦Ê¼ÖÕÆ½ºâ m1g=q1E
E=2.5 N/C
£¨2£©Ð¡Çò1·´µ¯£¬×öÔÈËÙÔ²ÖÜÔ˶¯£¬Ð¡Çò2ÏòÓÒ×öƽÅ×Ô˶¯£¬¹ì¼£Èçͼ£»

£¨3£©ÏàÅöºóСÇò1×öÔÈËÙÔ²ÖÜÔ˶¯£¬ÓÉÅ£¶ÙµÚ¶þ¶¨Âɵãº
£¬½âµÃ°ë¾¶Îª£º
ÖÜÆÚΪ
¡ßÁ½Ð¡ÇòÔ˶¯Ê±¼ä t=0.75s=
¡àСÇò1Ö»ÄÜÄæÊ±Õë¾
¸öÔ²ÖÜʱÓëСÇò2ÔÙ´ÎÏàÅö
µÚÒ»´ÎÏàÅöºóСÇò2×öƽÅ×Ô˶¯

L=R1=v2t
µÃ v2=3.75m/s
½áºÏ
µÃ£ºv1=5.625¦Ðm/s¡Ö17.66m/s
Á½Ð¡ÇòµÚÒ»´ÎÅöײǰºó¶¯Á¿Êغ㣬ÒÔˮƽÏòÓÒΪÕý·½Ïòm1v=-m1v1+m2v2
¡àÁ½Ð¡ÇòÖÊÁ¿Ö®±È
´ð£º£¨1£©µç³¡Ç¿¶ÈEµÄ´óСÊÇ2.5 N/C£»
£¨2£©¹ì¼£Èçͼ£»
£¨3£©Á½Ð¡ÇòµÄÖÊÁ¿Ö®±È
ÊÇ10.99£®
µãÆÀ£º±¾Ìâ¹Ø¼üÊÇ»³öÅöײºóµÄÔ˶¯¹ì¼££¬Í¬Ê±½áºÏÂåÂ××ÈÁ¦ÌṩÏòÐÄÁ¦¡¢Æ½Å×Ô˶¯µÄ¹æÂɺͶ¯Á¿Êغ㶨ÂÉÁÐʽ·ÖÎö¼ÆË㣮
£¨2£©ÅöײºóÄÜÔÙ´ÎÏàÅö£¬¹ÊСÇò1·´µ¯£¬·ñÔòÂåÂ××ÈÁ¦ÏòÉÏ£¬Ð¡Çò1ÏòÉÏÆ«£¬Ð¡Çò2ƽÅ×£¬²»»áÔÙÅö£»
½â´ð£º½â£º£¨1£©Ð¡Çò1ËùÊܵÄÖØÁ¦Óëµç³¡Á¦Ê¼ÖÕÆ½ºâ m1g=q1E
E=2.5 N/C
£¨2£©Ð¡Çò1·´µ¯£¬×öÔÈËÙÔ²ÖÜÔ˶¯£¬Ð¡Çò2ÏòÓÒ×öƽÅ×Ô˶¯£¬¹ì¼£Èçͼ£»
£¨3£©ÏàÅöºóСÇò1×öÔÈËÙÔ²ÖÜÔ˶¯£¬ÓÉÅ£¶ÙµÚ¶þ¶¨Âɵãº
ÖÜÆÚΪ
¡ßÁ½Ð¡ÇòÔ˶¯Ê±¼ä t=0.75s=
¡àСÇò1Ö»ÄÜÄæÊ±Õë¾
µÚÒ»´ÎÏàÅöºóСÇò2×öƽÅ×Ô˶¯
L=R1=v2t
µÃ v2=3.75m/s
½áºÏ
Á½Ð¡ÇòµÚÒ»´ÎÅöײǰºó¶¯Á¿Êغ㣬ÒÔˮƽÏòÓÒΪÕý·½Ïòm1v=-m1v1+m2v2
¡àÁ½Ð¡ÇòÖÊÁ¿Ö®±È
´ð£º£¨1£©µç³¡Ç¿¶ÈEµÄ´óСÊÇ2.5 N/C£»
£¨2£©¹ì¼£Èçͼ£»
£¨3£©Á½Ð¡ÇòµÄÖÊÁ¿Ö®±È
µãÆÀ£º±¾Ìâ¹Ø¼üÊÇ»³öÅöײºóµÄÔ˶¯¹ì¼££¬Í¬Ê±½áºÏÂåÂ××ÈÁ¦ÌṩÏòÐÄÁ¦¡¢Æ½Å×Ô˶¯µÄ¹æÂɺͶ¯Á¿Êغ㶨ÂÉÁÐʽ·ÖÎö¼ÆË㣮
Á·Ï°²áϵÁдð°¸
Ïà¹ØÌâÄ¿