题目内容

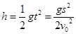
以初速为,射程为的平抛运动轨迹制成一光滑轨道。一物体由静止开始从轨道顶端滑下,当其到达轨道底部时,物体水平方向速度大小为

A.                                                                            B.    

C.                                                 D.

 

【答案】

C

【解析】

试题分析:平抛运动水平方向为匀速运动,那么竖直方向的自由落体高度为,竖直方向分速度,末速度和水平方向夹角,则,物体沿光滑轨道下滑时,动能定理,水平方向分速度为,答案C对。

考点:平抛运动  动能定理

 

练习册系列答案
相关题目

违法和不良信息举报电话:027-86699610 举报邮箱:58377363@163.com

精英家教网