题目内容
一个面积为S的矩形线圈在匀强磁场中以某一条边为轴匀速转动,线圈中的感应电动势e与时间t的关系如图所示.感应电动势的最大值和变化周期已在图中标出.求:
(1)磁场的磁感应强度B;
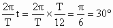
(2)在
时刻,线圈平面与磁感线间的夹角.
![]()
答案:略
解析:
解析:
|
解: (1)因为(2) 交流电动势瞬时值表达式为
当 故线圈平面与磁感线夹角为 30°或150°. |
练习册系列答案
相关题目
如图一个面积为S的矩形线圈在匀强磁场中做匀速转动下列说法正确的是( )
| A、t1时刻线圈平面与磁场方向平行 | B、t2时刻感应电动势最大 | C、t3时刻ad的速度方向跟磁感线平行 | D、在甲图位置电流方向改变一次 |
| A、nBScosθ | B、nBSSinθ | C、BSsinθ | D、BScosθ |