题目内容
一辆汽车从静止开始匀加速开出,然后保持匀速运动,最后匀减速运动直到停止.从汽车开始运动起计时,表中给出了某些时刻汽车的瞬时速度.根据表中的数据通过分析、计算可以得出( )| 时刻(s) | 1.0 | 2.0 | 3.0 | 5.0 | 7.0 | 9.5 | 10.5 |
| 速度(m/s) | 3.0 | 6.0 | 9.0 | 12 | 12 | 9.0 | 3.0 |
A.汽车加速运动经历的时间为4s
B.汽车加速运动经历的时间为5s
C.汽车匀速运动的时间为2s
D.汽车减速运动的时间为2s
【答案】分析:根据匀速运动的速度,根据匀变速直线运动的速度时间公式求出汽车加速运动的时间.求出减速运动的加速度,可以求出减速运动的时间,从而知道匀速运动的时间.
解答:解:A、匀速运动的速度为12m/s,匀加速运动的加速度
,则匀加速运动的时间
.故A正确,B错误.
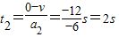
C、匀减速运动的加速度
,汽车从3m/s减到0还需的时间
.即11s时速度减为0.汽车匀减速所需的时间
.所以汽车匀速运动的时间为5s.故C错误,D正确.
故选AD.
点评:解决本题的关键掌握匀变速直线运动的速度时间公式v=v+at,会根据该公式求运动的时间,以及加速度.
解答:解:A、匀速运动的速度为12m/s,匀加速运动的加速度
C、匀减速运动的加速度
故选AD.
点评:解决本题的关键掌握匀变速直线运动的速度时间公式v=v+at,会根据该公式求运动的时间,以及加速度.
练习册系列答案
相关题目