题目内容
【答案】分析:根据动能定理可以求出滑块到达C点时的速度,滑块经过C点后做竖直上抛运动,滑块经过P孔又从Q孔落下的过程中,转盘可能刚好转过半个周期,也可能转过整数个周期加半个周期,注意本题的多解性.
解答:解:设滑块至B点时速度为vB,对滑块由A点到B点应用动能定理有:
解得:
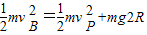
滑块从B点开始运动后机械能夺恒,设滑块到达P处时速度为vP,则:
解得:
滑块穿过P孔后再回到平台的时间:
要想实现题述过程,需满足:ωt=(2n+1)π

故平台转动的角速度ω应满足条件为
.
点评:本题的易错点在于平台转动的角速度的多解性,注意运动的周期性往往带来多解性.
解答:解:设滑块至B点时速度为vB,对滑块由A点到B点应用动能定理有:
解得:
滑块从B点开始运动后机械能夺恒,设滑块到达P处时速度为vP,则:
解得:
滑块穿过P孔后再回到平台的时间:
要想实现题述过程,需满足:ωt=(2n+1)π
故平台转动的角速度ω应满足条件为
点评:本题的易错点在于平台转动的角速度的多解性,注意运动的周期性往往带来多解性.
练习册系列答案
相关题目