题目内容
随着机动车数量的增加,交通安全问题日益凸显.分析交通违法事例,将警示我们遵守交通法规,珍惜生命.一货车发动机额定功率为150kw,严重超载后的总质量为50t(不超载时总质量为25t),以15m/s的速率匀速行驶.发现红灯时司机刹车,货车即做匀减速直线运动,加速度的大小为2.5m/s2(不超载时则为5m/s2).(1)若前方无阻挡,问从刹车到停下来此货车在超载及不超载时分别前进多远?
(2)此货车在行使过程中受到的阻力为f=0.02mg,求超载及不超载时分别行驶的最大速度为多少?(g=10m/s2)
(3)若超载货车刹车时正前方18m处有一辆速度为5m/s匀速行驶的自行车,试分析说明两车是否将发生碰撞?
【答案】分析:(1)已知初速度与加速度,由匀变速运动的速度位移公式可以求出汽车的位移.
(2)求出汽车受到的阻力,汽车匀速行驶时速度最大,由P=Fv的变形公式求出最大速度.
(3)两车相遇时,如果货车速度小于等于自行车速度,则能避免碰撞,应用匀变速运动公式分析答题.
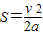
解答:解:(1)货车刹车时的初速是v=15m/s,末速是0,
加速度分别是2.5m/s2和5m/s2,由速度位移公式可得:
,
代入数据解得:超载时S=45m,不超载S=22.5m;
(2)货车在最大速度时牵引力等于阻力,F=f=0.02mg,
由P=Fv得:货车的最大速度为
,
代入数据解得:超载vm=15m/s,不超载vm=30m/s;
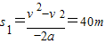
(3)货车减速到3m/s行使的位移为
,
运动时间为
,
自行车行使的位移为s2=vt=20m,
由于s2+18<s1,故货车和自行车将发生碰撞;
答:(1)从刹车到停下来,此货车在超载时前进距离是45m,不超载时前进22.5m.
(2)超载时的最大速度为15m/s,不超载时行驶的最大速度为30m/s.
(3)货车将与自行车碰撞.
点评:应用匀变速运动规律与功率公式P=Fv即可正确解题,本题难度不大.
(2)求出汽车受到的阻力,汽车匀速行驶时速度最大,由P=Fv的变形公式求出最大速度.
(3)两车相遇时,如果货车速度小于等于自行车速度,则能避免碰撞,应用匀变速运动公式分析答题.
解答:解:(1)货车刹车时的初速是v=15m/s,末速是0,
加速度分别是2.5m/s2和5m/s2,由速度位移公式可得:
代入数据解得:超载时S=45m,不超载S=22.5m;
(2)货车在最大速度时牵引力等于阻力,F=f=0.02mg,
由P=Fv得:货车的最大速度为
代入数据解得:超载vm=15m/s,不超载vm=30m/s;
(3)货车减速到3m/s行使的位移为
运动时间为
自行车行使的位移为s2=vt=20m,
由于s2+18<s1,故货车和自行车将发生碰撞;
答:(1)从刹车到停下来,此货车在超载时前进距离是45m,不超载时前进22.5m.
(2)超载时的最大速度为15m/s,不超载时行驶的最大速度为30m/s.
(3)货车将与自行车碰撞.
点评:应用匀变速运动规律与功率公式P=Fv即可正确解题,本题难度不大.
练习册系列答案
相关题目