题目内容
设人造地球卫星绕地球做匀速圆周运动,现有编号为1、2的两颗人造地球卫星,轨道半径之比为r1:r2=1:4,则它们的向心加速度大小之比为a1:a2= ;周期之比为T1:T2= .
【答案】分析:根据人造卫星的万有引力等于向心力,列式求出周期和向心加速度的表达式进行讨论即可.
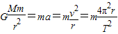
解答:解:A、人造卫星绕地球做匀速圆周运动,根据万有引力提供向心力,设卫星的质量为m、轨道半径为r、地球质量为M,有

解得:
a=
,T=
所以
,
故答案为:16:1;1:8.
点评:本题关键抓住万有引力提供向心力,列式求解出周期和向心加速度的表达式,再进行讨论.
解答:解:A、人造卫星绕地球做匀速圆周运动,根据万有引力提供向心力,设卫星的质量为m、轨道半径为r、地球质量为M,有
解得:
a=
所以
故答案为:16:1;1:8.
点评:本题关键抓住万有引力提供向心力,列式求解出周期和向心加速度的表达式,再进行讨论.
练习册系列答案
相关题目
设人造地球卫星绕地球做匀速圆周运动,现有编号为1、2的两颗人造地球卫星,轨道半径之比为r1:r2=1:4,则它们的向心加速度大小之比为a1:a2=
16:1
16:1
;周期之比为T1:T2=1:8
1:8
.设人造地球卫星绕地球作匀速圆周运动,火箭发射装置为使人造卫星发射到离地面较远的轨道运动,则卫星的( )
| A、线速度越大 | B、角速度越小 | C、周期越小 | D、向心加速度越大 |
设人造地球卫星绕地球做匀速圆周运动,卫星离地面越高,则卫星的( )
| A.速度越大 | B.角速度越大 |
| C.向心加速度越大 | D.周期越长 |