题目内容

光滑水平面AB与竖直面的半圆形导轨在B点衔接,导轨半径R,如图所示,物块质量为m,弹簧处于压缩状态,现剪断细线,在弹力的作用下获得一个向右的速度,当它经过B点进入导轨瞬间对导轨的压力为其重力的7倍,之后向上运动恰能完成半圆周运动到达C点,求:

(1)弹簧对物块的弹力做的功;

(2)物块从B至C克服摩擦阻力所做的功;

(3)物块离开C点后落回水平面时动能的大小

 

 

【答案】

(1)3mgR   (2)   (3)

【解析】

试题分析:(1)设物块进入半圆导轨B点瞬间的速度为

物块到达B点时受重力mg和支持力N=7mg作用,

二者的合力提供向心力,则:

………………① 

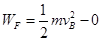
设弹簧对物块的弹力做的功为WF,对弹簧推动物块过程由动能定理得:

…………………② 

由①②解得:

 ……………………③  

(2)设物块到达C点时的速度为vC,依题意可知物块在C点仅受重力mg作用,对物块在C点由牛顿第二定律得:

………………………④  

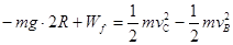
设物块从B到C过程,摩擦阻力对物块所做功为Wf,对物块的此过程依动能定理得:

…⑤ 

由①④⑤解得:

……………………⑥  

故物块从B到C过程克服阻力做的功为

(3)设物块落回水平面AB时速度大小为,取水平面AB为重力势能零势面,对物块由C落到水平面AB的过程,依机械能守恒定律得:

………⑦  

由④⑦解得物块落回水平面AB时动能的大小为…………………⑧ 

考点:机械能守恒定律的应用

点评:偏难。竖直平面内圆周运动,动能定理、机械能守恒是力学综合问题中经常用的物理规律,抓住每个规律的特点是解决这类问题的关键。

 

练习册系列答案
相关题目

违法和不良信息举报电话:027-86699610 举报邮箱:58377363@163.com

精英家教网