题目内容
一小型发电机通过升压、降压变压器把电能输送给用户,已知发电机的输出功率为为50kW,输出电压为500V,升压变压器原、副线圈匝数比为1:5,两个变压器间的输电导线的总电阻为15Ω,降压变压器的输出电压为220V,变压器本身的损耗忽略不计,在输电过程中电抗造成电压的损失不计,求:(1)升压变压器副线圈的端电压;
(2)输电线上损耗的电功率;
(3)降压变压器原、副线圈的匝数比.
【答案】分析:(1)根据理想变压器原副线圈两端的电压与匝数成正比,求解升压变压器副线圈的端电压;
(2)变压器不改变功率,由P=UI求出输电线中电流,由功率公式求解输电线上损耗的电功率;
(3)用户得到的功率等于发电机的输出功率减去输电线上损失的功率,根据用户得到的功率,由功率公式求出降压变压器副线圈中电流,再由电流与匝数成反比求解降压变压器原、副线圈的匝数比.
解答:解:
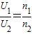
(1)因为
,所以
=2500V.
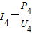
(2)P2=P1=50kW.
输电线中电流
=
,
则
=202×15W=6000W.
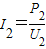
(3)用户得到功率P4=P1-P损=44000W,
所以降压变压器副线圈电流
=
.
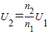
故
.
答:
(1)升压变压器副线圈的端电压为2500V.
(2)输电线上损耗的电功率是6000W;
(3)降压变压器原、副线圈的匝数比是
.
点评:对于输电问题,要搞清电路中电压、功率分配关系,注意理想变压器不改变功率.基础题.
(2)变压器不改变功率,由P=UI求出输电线中电流,由功率公式求解输电线上损耗的电功率;
(3)用户得到的功率等于发电机的输出功率减去输电线上损失的功率,根据用户得到的功率,由功率公式求出降压变压器副线圈中电流,再由电流与匝数成反比求解降压变压器原、副线圈的匝数比.
解答:解:
(1)因为
(2)P2=P1=50kW.
输电线中电流
则
(3)用户得到功率P4=P1-P损=44000W,
所以降压变压器副线圈电流
故
答:
(1)升压变压器副线圈的端电压为2500V.
(2)输电线上损耗的电功率是6000W;
(3)降压变压器原、副线圈的匝数比是
点评:对于输电问题,要搞清电路中电压、功率分配关系,注意理想变压器不改变功率.基础题.
练习册系列答案
相关题目