题目内容

如图所示装置中,区域I和Ⅲ中分别有竖直向上和水平向右的匀强电场,电场强度分别为E和;Ⅱ区域内有垂直纸面向外的水平匀强磁场,磁感应强度为B。一质量为m、带电量为q的带负电粒子(不计重力)从左边界O点正上方的M点以速度V0水平射人电场,经水平分界线OP上的A点与OP成600角射入Ⅱ区域的磁场,并垂直竖直边界CD进入Ⅲ区域的匀强电场中。求:

(1)粒子在Ⅱ区域匀强磁场中运动的轨道半径

(2)O、M间的距离

(3)粒子从M点出发到第二次通过CD边界所经历的时间

 

【答案】

(1)   (2)  (3)

【解析】

试题分析:(1)粒子在匀强电场中做类平抛运动,设粒子过A点时速度为v,

由类平抛规律知    粒子在匀强磁场中做匀速圆周运动,由牛顿第二定律得    所以

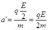
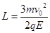
(2)设粒子在电场中运动时间为,加速度为a。

则有           即

O、M两点间的距离为

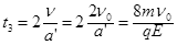
(3)设粒子在Ⅱ区域磁场中运动时间为

则由几何关系知 

设粒子在Ⅲ区域电场中运行时间为

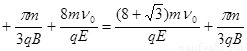
      粒子从M点出发到第二次通过CD边界所用时间为:

   

考点:带电粒子在电场磁场中的运动

 

练习册系列答案
相关题目

违法和不良信息举报电话:027-86699610 举报邮箱:58377363@163.com

精英家教网