题目内容
如图所示,某同学在做“研究匀变速直线运动”实验中,由打点计时器得到表示小车运动过程的一条清晰纸带,纸带上两相邻计数点间的时间间隔为T=0.10s,其中s1=7.05cm、s2=7.68cm、s3=8.31cm、s4=8.95cm、s5=9.58cm、s6=10.20cm,则打A点时小车瞬时速度的大小是 m/s,小车运动的加速度大小是 m/s2(计算结果保留两位有效数字).
【答案】分析:根据某段时间内的平均速度等于中间时刻的瞬时速度求出A点的瞬时速度,通过连续相等时间内的位移之差是一恒量求出加速度的大小.
解答:解:A点的瞬时速度
m/s≈0.86m/s.
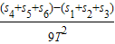
根据△x=aT2,运用逐差法得,a=
=
≈0.63m/s2.
故答案为:0.86,0.63
点评:解决本题的关键掌握纸带的处理方法,会通过纸带求解加速度和瞬时速度,计算时注意有效数字的保留.
解答:解:A点的瞬时速度
根据△x=aT2,运用逐差法得,a=
故答案为:0.86,0.63
点评:解决本题的关键掌握纸带的处理方法,会通过纸带求解加速度和瞬时速度,计算时注意有效数字的保留.
练习册系列答案
相关题目