题目内容

如图所示,在x轴上方有沿y轴正方向的匀强电场,场强为E,在x轴下方有垂直于xy平面向里的匀强磁场,磁感强度为B。一带负电的粒子从坐标原点O以速度v与x轴正方向成角射出,射出之后,要使该粒子经过一段时间后又经过O点,E与B的比值应满足什么条件? (重力不计)。

 

 

【答案】

或者( n=1、2、3…)

【解析】

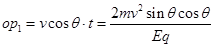
试题分析:粒子射出后在电场中做类平抛运动,射出之后第一次经过x轴上P1点,则竖直方向 

其中;水平方向

射出之后第二次经过x轴上P2点,

若P1P2<OP1

粒子不可能经过O点

若OP1= P1P2

若P1P2>OP1

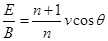
要让粒子经过O点,必须n (P1P2 -OP1)=OP1 

 n=1、2、3…

考点:此题在复合场中考查类平抛运动的规律及匀速圆周运动知识。

 

练习册系列答案
相关题目

违法和不良信息举报电话:027-86699610 举报邮箱:58377363@163.com

精英家教网