题目内容

2007年10月24日18时05分,中国第一颗探月卫星“嫦娥一号”在西昌卫星发射中心成功升空,“嫦娥奔月”成为中国航天的现实.为了方便研究,我们将“嫦娥奔月”的过程简化为:“嫦娥一号”升空后,首先进入周期为T1的近地圆轨道,然后在地面的指令下经过一系列的变轨后最终被月球捕获,在距离月球表面为h的轨道上绕月球做匀速圆周运动.已知地球质量为M1,半径为R1,月球质量为M2,半径为R2.求:“嫦娥一号”绕月球运动时的周期T2(最终结果用题目中的物理量来表示).

答案:
解析:

  解:“嫦娥一号”在近地空间运行时,有: (3分)

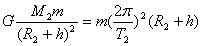
  “嫦娥一号”绕月球运行时,有: (3分)

  解得: (4分)


练习册系列答案
相关题目

违法和不良信息举报电话:027-86699610 举报邮箱:58377363@163.com

精英家教网