题目内容
小明站在水平地面上,手握不可伸长的轻绳一端,绳的另一端系有质量为m的小球,甩动手腕,使球在竖直平面内做圆周运动.当球某次运动到最低点时,绳突然断掉,球飞行水,平距离d后落地,如图所示,已知握绳的手离地面高度为d,手与球之间的绳长为
(1)绳断时球的速度大小v1;
(2)绳能承受的最大拉力;
(3)改变绳长(绳承受的最大拉力不变),保持手的位置不动,使球重复上述运动,若绳仍在球运动到最低点时断掉,要使球抛出的水平距离最大,绳长应为多少?最大水平距离为多少?
【答案】分析:(1)绳断后,小球做平抛运动,根据平抛运动的高度求出时间,根据水平位移和时间求出绳断时球的速度大小.
(2)根据在最低点,合力提供向心力,运用牛顿第二定律求出最大拉力.
(3)根据最大拉力,通过牛顿第二定律求出绳断后的速度与绳长的关系,根据平抛运动求出平抛运动水平位移的表达式,通过数学方法二次函数求极值,求出l为多少时,x最大.
解答:解:(1)设绳断后球做平抛运动的时间为t1,
竖直方向上:
,水平方向上:d=v1t1
解得
.
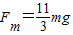
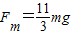
(2)设绳能承受的最大拉力为Fm.
球做圆周运动的半径为R=

解得
.
(3)设绳长为l,绳断时球的速度为v2.
有:
,解得
.
绳断后球做平抛运动,竖直位移为d-l,水平位移为x,时间为t2.
有:
,x=v2t2.
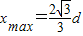
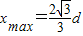
得
当l=
时,x有极大值
.
答:(1)绳断时球的速度大小
.
(2)绳能承受的最大拉力为
.
(3)要使球抛出的水平距离最大,绳长应为
,最大水平距离为
.
点评:本题综合了平抛运动和圆周运动两个运动,关键知道平抛运动在竖直方向和水平方向上的运动规律,以及圆周运动向心力的来源.
(2)根据在最低点,合力提供向心力,运用牛顿第二定律求出最大拉力.
(3)根据最大拉力,通过牛顿第二定律求出绳断后的速度与绳长的关系,根据平抛运动求出平抛运动水平位移的表达式,通过数学方法二次函数求极值,求出l为多少时,x最大.
解答:解:(1)设绳断后球做平抛运动的时间为t1,
竖直方向上:
解得
(2)设绳能承受的最大拉力为Fm.
球做圆周运动的半径为R=
解得
(3)设绳长为l,绳断时球的速度为v2.
有:
绳断后球做平抛运动,竖直位移为d-l,水平位移为x,时间为t2.
有:
得
当l=
答:(1)绳断时球的速度大小
(2)绳能承受的最大拉力为
(3)要使球抛出的水平距离最大,绳长应为
点评:本题综合了平抛运动和圆周运动两个运动,关键知道平抛运动在竖直方向和水平方向上的运动规律,以及圆周运动向心力的来源.
练习册系列答案
相关题目