ÌâÄ¿ÄÚÈÝ

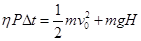
£¨18·Ö£©Ïû·À³µµÄ¹©Ë®ÏµÍ³Ö÷ÒªÓÉË®±Ã¡¢ÊäË®¹ÜµÀºÍË®ÅÚ×é³É.ÈçͼËùʾ£¬Ïû·ÀË®ÅÚÀëµØ¸ß¶ÈΪ£¬½¨ÖþÎïÉϵĻðµãÀëµØ¸ß¶ÈΪ£¬Ë®ÅÚÓë»ðµãµÄˮƽ¾àÀëΪ£¬Ë®±ÃµÄ¹¦ÂÊΪ£¬Õû¸ö¹©Ë®ÏµÍ³µÄЧÂÊ.¼ÙÉèË®´ÓË®ÅÚˮƽÉä³ö£¬²»¼Æ¿ÕÆø×èÁ¦£¬È¡.

£¨1£©Èô,£¬Ë®ÅÚ³öË®ËÙ¶È£¬ÇóË®ÅÚÓëÆð»ð½¨ÖþÎïÖ®¼äµÄˮƽ¾àÀ룻

£¨2£©ÔÚ£¨1£©ÎÊÖУ¬ÈôË®ÅÚÿÃë³öË®Á¿£¬ÇóË®±ÃµÄ¹¦ÂÊ£»

£¨3£©µ±Íê³É¸ß²ãÃð»ðºó,»¹ÐèÒª¶ÔÉ¢ÂäÔÚ»ðµãÕýÏ·½µØÃæÉϵÄȼÉÕÎï½øÐÐÃð»ð,½«Ë®ÅÚÊúÖ±ÏÂÒÆÖÁ,¼ÙÉ蹩ˮϵͳµÄЧÂʲ»±ä,Ë®ÅÚ³öË®¿ÚµÄºá½ØÃæ»ý²»±ä£¬Ë®±Ã¹¦ÂÊÓ¦µ÷ÕûΪ£¬ÔòӦΪ¶à´ó£¿

 

 

¡¾´ð°¸¡¿

£¨1£©  £¨2£©   £¨3£©

¡¾½âÎö¡¿

ÊÔÌâ·ÖÎö£º£¨1£©¸ù¾ÝƽÅ×Ô˶¯¹æÂÉ,ÓР   £¨2·Ö£©

        £¨2·Ö£©

ÁªÁ¢Á½Ê½£¬´úÈëÊý¾ÝµÃ£º   £¨2·Ö£©

£¨2£©ÉèÔÚʱ¼äÄÚ³öË®ÖÊÁ¿Îª£¬Óɹ¦ÄܹØÏµµÃ:  £¨3·Ö£©

È¡£¬Ôò£¬ÓУº £¨3·Ö£©

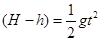
£¨3£©×¢Òâµ½¸ß¶È±ä»¯ºó£¬Ë®Á÷Ëٶȱ仯£¬1sÄÚ³öË®ÖÊÁ¿Ò²½«±ä»¯.

Éè1sÄÚ³öË®Á¿Îª£¬Ë®µÄÃܶÈΪ£¬ËÙ¶ÈΪ£¬Ë®ÅÝÅç¿ÚµÄºá½ØÃæ»ýΪS£¬ÓУº

 £¬  £¬ £¬   £¨2·Ö£©

ÁªÁ¢ÉÏÊö¸÷ʽ²¢´úÈëÊý¾ÝµÃ£º     £¨1·Ö£©

  £¨1·Ö£©

Óɹ¦ÄܹØÏµµÃ£º           £¨3·Ö£©

È¡£¬Ôò£¬ÓУº£¨3·Ö£©

¿¼µã£º±¾Ì⿼²éÁËÆ½Å×Ô˶¯¡¢¹¦ÄܹØÏµ.

 

Á·Ï°²áϵÁдð°¸
Ïà¹ØÌâÄ¿

Î¥·¨ºÍ²»Á¼ÐÅÏ¢¾Ù±¨µç»°£º027-86699610 ¾Ù±¨ÓÊÏ䣺58377363@163.com

¾«Ó¢¼Ò½ÌÍø