题目内容
如图所示,物体从光滑斜面上的A点由静止开始下滑,经过B点后进入粗糙水平面(设经过B点前后速度大小不变),最后停在C点.每隔0.1s通过速度传感器测量物体的瞬时速度,如表给出了部分测量数据.(g=10m/s2)求:| t(s) | 0.0 | 0.1 | 0.2 | … | 0.8 | 0.9 | … |
| v(m/s) | 0.0 | 0.5 | 1.0 | … | 1.2 | 1.0 | … |
(2)物体运动的总路程.
【答案】分析:(1)物体在光滑斜面上下滑时的加速度a=gsinθ,根据表格给出的数据只要求出下滑时的加速度就可以求出斜面的倾角θ;
(2)物体先做匀加速直线运动再做匀减速直线运动,根据匀加速运动和匀减速运动的加速度,和0.8s末的瞬时速度求出物体运动的最大速度,再根据匀加速和匀减速运动的速度位移关系求出位移.
解答:(14分)(1)由前三列数据可知物体在斜面上匀加速下滑
由加速度公式a1=
得a1=5m/s2
由牛顿第二定侓得mgsinθ=ma1
可得:θ=30°
(2)由后二列数据可知物体在水平面上匀减速滑行
由加速度公式a2=
得a2=2m/s2
设在t时刻物体运动到B点,且速度最大为v,则有
v=a1t
又因为在0.8 s时物体的速度为1.2 m/s,则有
v=1.2+a2(0.8-t)
解之得t=0.4s
v=2 m/s
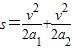
总路程
=1.4 m
答:(1)斜面的倾角θ=30°
(2)物体运动的总路程为1.4m.
点评:正确分析物体在光滑斜面上的受力从而求出下滑时的加速度,根据匀加速和匀减速直线运动的特征求解是关键.
(2)物体先做匀加速直线运动再做匀减速直线运动,根据匀加速运动和匀减速运动的加速度,和0.8s末的瞬时速度求出物体运动的最大速度,再根据匀加速和匀减速运动的速度位移关系求出位移.
解答:(14分)(1)由前三列数据可知物体在斜面上匀加速下滑
由加速度公式a1=
由牛顿第二定侓得mgsinθ=ma1
可得:θ=30°
(2)由后二列数据可知物体在水平面上匀减速滑行
由加速度公式a2=
设在t时刻物体运动到B点,且速度最大为v,则有
v=a1t
又因为在0.8 s时物体的速度为1.2 m/s,则有
v=1.2+a2(0.8-t)
解之得t=0.4s
v=2 m/s
总路程
答:(1)斜面的倾角θ=30°
(2)物体运动的总路程为1.4m.
点评:正确分析物体在光滑斜面上的受力从而求出下滑时的加速度,根据匀加速和匀减速直线运动的特征求解是关键.
练习册系列答案
相关题目