题目内容

光滑水平面AB与竖直面内的圆形导轨在B点连接,导轨半径R=0.5 m,一个质量m=2 kg的小球在A处压缩一轻质弹簧,弹簧与小球不拴接.用手挡住小球不动,此时弹簧弹性势能EP=49 J,如图所示.放手后小球向右运动脱离弹簧,沿圆形轨道向上运动恰能通过最高点C,取g=10 m/s2,求:

(1)小球脱离弹簧时的速度大小;

(2)小球从B到C克服阻力做的功;

(3)小球离开C点后落回水平面时的动能大小.

答案:
解析:

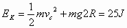
  解:(1)设物块脱离弹簧时速度为,由机械能守恒可知:

  代入数据得:(2分)

  (2)在C点:(1分)

  从B到C的过程对小球用动能定理:(1分)

  代入数据得:(1分)

  (3)小球离开C点后落回水平面过程中机械能守恒,

  可得小球落回水平面时的动能大小(2分)


练习册系列答案
相关题目

违法和不良信息举报电话:027-86699610 举报邮箱:58377363@163.com

精英家教网