题目内容

在以坐标原点O为圆心、半径为r的圆形区域内,存在磁感应强度大小为B、方向垂直于纸面向里的匀强磁场,如图所示.一个不计重力的带电粒子从磁场边界与x轴的交点A处以速度v沿-x方向射入磁场,它恰好从磁场边界与y轴的交点C处沿+y方向飞出.

(1)请判断该粒子带何种电荷,并求出其比荷q/m;

(2)若磁场的方向和所在空间范围不变,而磁感应强度的大小变为,该粒子仍从A处以相同的速度射入磁场,但飞出磁场时的速度方向相对于入射方向改变了60°角,求磁感应强度多大?此次粒子在磁场中运动所用时间t是多少?

答案:
解析:

  (1)由粒子的飞行轨迹,利用左手定则可知,该粒子带负电荷.

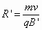
  粒子由A点射入,由C点飞出,其速度方向改变了90°,则粒子轨迹半径   ①

  又  ②

  则粒子的比荷   ③

  (2)粒子从D点飞出磁场速度方向改变了60°角,故

  AD弧所对圆心角60°,粒子做圆周运动的半径

    ④

  又  ⑤

  所以    ⑥

  粒子在磁场中飞行时间  ⑦


练习册系列答案
相关题目

违法和不良信息举报电话:027-86699610 举报邮箱:58377363@163.com

精英家教网