题目内容

如图所示,物体自 O点由静止开始做匀加速直线运动,A、B、C、D为其运动轨迹上的四点,测得AB=2m, BC=3m,且物体通过AB、BC、CD所用的时间相等,则下列说法正确的是

A.可以求出物体加速度的大小

B.可以求得CD=4m

C.可以求得OA之间的距离为1.125m

D.可以求得OA之间的距离为1. 5m

 

【答案】

BC

【解析】

试题分析:设物体通过AB、BC、CD所用的时间均为t,由匀变速直线运动的规律相邻相等的时间内位移之差为常数,即可得:物体的加速度a的大小为,因为不知道时间,所以不能求出加速度,故A错误;

根据,可知,故B正确;

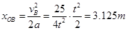
因某段时间内的平均速度等于中间时刻的瞬时速度,所以物体经过B点时的瞬时速度为,再由可得OB两点间的距离为,所以O与A间的距离,故C正确,D错误.所以选BC.

考点:本题考查了匀变速直线运动的公式以及推论的综合运用,意在考查考生的推理能力.

 

练习册系列答案
相关题目

违法和不良信息举报电话:027-86699610 举报邮箱:58377363@163.com

精英家教网