题目内容
2007年10月24日18时05分,中国第一颗探月卫星“嫦娥一号”在西昌卫星发射中心成功升空,“嫦娥奔月”成为中国航天的现实,为了方便研究,我们将“嫦娥奔月”的过程简化为:“嫦娥一号”升空后,首先进入周期为T1的近地圆轨道,然后在地面的指令下经过一系列的变轨后最终被月球捕获,在距离月球表面为h的轨道上绕月球做匀速圆周运动.已知地球质量为M1,半径为R1,月球质量为M2,半径为R2.求:“嫦娥一号”绕月球运动时的周期T2(最终结果用题目中的物理量为表示).
【答案】分析:在近地轨道上运用万有引力周期公式列式,在绕月球公转时运用万有引力周期公式列式,联立即可求解.
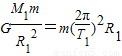
解答:解:在近地轨道有:
在绕月公转时有:
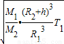
解得:
答:“嫦娥一号”绕月球运动时的周期为
点评:本题主要考查了万有引力定律及向心力公式的直接应用,难度不大,属于基础题.
解答:解:在近地轨道有:
在绕月公转时有:
解得:
答:“嫦娥一号”绕月球运动时的周期为
点评:本题主要考查了万有引力定律及向心力公式的直接应用,难度不大,属于基础题.
练习册系列答案
相关题目