ÌâÄ¿ÄÚÈÝ
£¨1£©ÎÀÐÇÔÚ½üµØÔÝÐйìµÀÉϵÄÔËÐÐÖÜÆÚ£»
£¨2£©ÎÀÐÇ´ÓAµãµ½BµãËùÐèµÄʱ¼ä£®ÒÑÖªµØÇò±íÃæµÄÖØÁ¦¼ÓËÙ¶È´óСΪg£¬µØÇòµÄ°ë¾¶ÎªR£®
¡¾´ð°¸¡¿·ÖÎö£º£¨1£©¸ù¾ÝÍòÓÐÒýÁ¦ÌṩÏòÐÄÁ¦Çó½â£®
£¨2£©¸ù¾Ý¿ªÆÕÀÕµÚÈý¶¨ÂÉ£¬Óɰ뾶Ϊr1Óë°ë¾¶Îªr2¿ÉÇó³öÍÖÔ²¹ìµÀµÄÖÜÆÚ£¬´Ó¶øÈ·¶¨ÎÀÐÇ´ÓAµãµ½BµãËùÐèµÄʱ¼äΪt£®
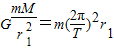
½â´ð£º½â£º£¨1£©¸ù¾ÝÍòÓÐÒýÁ¦ÌṩÏòÐÄÁ¦£¬ÓÉÓÚÎÀÐÇÌù½üµØÇò±íÃæ£¬
ÔòÓУº
£¨1£©
»Æ½ð´ú»»Ê½£º
£¨2£©
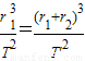
ÓÉ£¨1£©£¨2£©½âÖ®µÃ£ºT=
£¨3£©
£¨2£©¸ù¾Ý¿ªÆÕÀÕµÚÈý¶¨ÂÉ£¬¼´
£¨4£©
ÒòΪ
£¨5£©
ÓÉ£¨3£©£¨4£©£¨5£©ÁªÁ¢½âµÃ£º
´ð£º£¨1£©ÎÀÐÇÔÚ½üµØÔÝÐйìµÀÉϵÄÔËÐÐÖÜÆÚ
£»
£¨2£©ÎÀÐÇ´ÓAµãµ½BµãËùÐèµÄʱ¼äΪ
£®
µãÆÀ£º½â¾ö±¾ÌâµÄ¹Ø¼üÕÆÎÕÍòÓÐÒýÁ¦ÌṩÏòÐÄÁ¦ºÍÍòÓÐÒýÁ¦µÈÓÚÖØÁ¦Á½ÖªÊ¶µã£¬ÒÔ¼°»áÓÿªÆÕÀÕµÚÈý¶¨ÂɽâÌ⣮
£¨2£©¸ù¾Ý¿ªÆÕÀÕµÚÈý¶¨ÂÉ£¬Óɰ뾶Ϊr1Óë°ë¾¶Îªr2¿ÉÇó³öÍÖÔ²¹ìµÀµÄÖÜÆÚ£¬´Ó¶øÈ·¶¨ÎÀÐÇ´ÓAµãµ½BµãËùÐèµÄʱ¼äΪt£®
½â´ð£º½â£º£¨1£©¸ù¾ÝÍòÓÐÒýÁ¦ÌṩÏòÐÄÁ¦£¬ÓÉÓÚÎÀÐÇÌù½üµØÇò±íÃæ£¬
ÔòÓУº
»Æ½ð´ú»»Ê½£º
ÓÉ£¨1£©£¨2£©½âÖ®µÃ£ºT=
£¨2£©¸ù¾Ý¿ªÆÕÀÕµÚÈý¶¨ÂÉ£¬¼´
ÒòΪ
ÓÉ£¨3£©£¨4£©£¨5£©ÁªÁ¢½âµÃ£º
´ð£º£¨1£©ÎÀÐÇÔÚ½üµØÔÝÐйìµÀÉϵÄÔËÐÐÖÜÆÚ
£¨2£©ÎÀÐÇ´ÓAµãµ½BµãËùÐèµÄʱ¼äΪ
µãÆÀ£º½â¾ö±¾ÌâµÄ¹Ø¼üÕÆÎÕÍòÓÐÒýÁ¦ÌṩÏòÐÄÁ¦ºÍÍòÓÐÒýÁ¦µÈÓÚÖØÁ¦Á½ÖªÊ¶µã£¬ÒÔ¼°»áÓÿªÆÕÀÕµÚÈý¶¨ÂɽâÌ⣮
Á·Ï°²áϵÁдð°¸
Ïà¹ØÌâÄ¿