题目内容

两颗靠得较近的恒星称为双星,这两颗星,各以一定的速率绕同一中心转动才不至于因万有引力而被吸引在一起.已知双星的质量分别为,相距为L,万有引力常量为G,求双星的转动周期?

答案:略
解析:

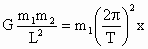
双星所受的万有引力大小相等,但它们的旋转半径并不相同,设的旋转半径为x,则的旋转半径为Lx

,为研究对象知

为研究对象知

联立两式可得


练习册系列答案
相关题目

违法和不良信息举报电话:027-86699610 举报邮箱:58377363@163.com

精英家教网