题目内容
在“用单摆测重力加速度”的实验中,某学生利用一个摆长可调节的单摆做实验,实验过程是:将单摆的悬线调节为某一长度,用米尺量出悬线长度l(l不包括摆球半径).让摆球摆动(摆角小于5°),用秒表测出单摆的周期T,再算出周期T的平方值;然后将单摆的悬线调节为其它长度,重复前面的实验步骤.得到五组实验数据,如下表所示.| 悬线长l(m) | 0.801 | 0.850 | 0.899 | 0.951 | 1.000 |
| 周期平方T2(s2) | 3.29 | 3.49 | 3.69 | 3.90 | 4.10 |
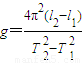
②利用T2与l的关系图线,计算重力加速度的表达式是g=______2-
| T | 21 |
【答案】分析:采用描点法作出图象,得出T2与l的关系式.根据图线求出斜率的大小,再由数学知识求出g的值.
解答:解:(1)以T2为纵坐标的坐标图上,根据这些数据点作出T2与l的关系图线:

(2)根据单摆的周期公式得
T1=2π
,T2=2π
解得:
式中(l1,
)、(l2,
)分别表示图线上的两个点的坐标值.
(3)代入数据解得:g=9.70m/s2
故答案为:①如图
②
.(l1,
)、(l2,
)分别表示图线上的两个点的坐标值.
③9.70m/s2
点评:根据单摆周期公式变形得到重力加速度的表达式再选择并分析图象的意义是常用的思路.
解答:解:(1)以T2为纵坐标的坐标图上,根据这些数据点作出T2与l的关系图线:
(2)根据单摆的周期公式得
T1=2π
解得:
式中(l1,
(3)代入数据解得:g=9.70m/s2
故答案为:①如图
②
③9.70m/s2
点评:根据单摆周期公式变形得到重力加速度的表达式再选择并分析图象的意义是常用的思路.
练习册系列答案
相关题目