题目内容
2013年2月16日凌晨,2012DA14小行星与地球“擦肩而过”,距离地球最近约2.77万公里.据观测,它绕太阳公转的周期约为366天,比地球的公转周期多1天.假设小行星和地球绕太阳运行的轨道均为圆轨道,对应的轨道半径分别为R1、R2,线速度大小分别为v1、v2,以下关系式正确的是( )A.
B.
C.
D.
【答案】分析:由开普勒行星运行定律和万有引力提供向心力可知展开讨论即可.
解答:解:由开普勒行星运行定律
有:
?
,故B正确A错误;
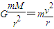
万有引力提供圆周运动的向心力
?
所以
=
又因为
∴
,故D正确;
故选BD
点评:行星绕太阳运动的同期和半径满足开普勒第三定律,万有引力提供圆周运动的向心力是解决本题的关键.
解答:解:由开普勒行星运行定律
万有引力提供圆周运动的向心力
所以
又因为
∴
故选BD
点评:行星绕太阳运动的同期和半径满足开普勒第三定律,万有引力提供圆周运动的向心力是解决本题的关键.
练习册系列答案
相关题目
| A、小行星对地球的轨道没有造成影响,地球对小行星的轨道也不会造成影响 | B、只考虑太阳的引力,地球绕太阳运行的加速度大于小行星在Q点的加速度 | C、只考虑地球的引力,小行星在Q点的加速度大于同步卫星在轨道上的加速度 | D、小行星在Q点没有被地球俘获变成地球的卫星,是因为它在Q点的速率大于第二宇宙速度 |