题目内容
如图所示,一种射线管由平行金属板A、B和平行于金属板的细管C组成.放射源O在A极板左端,可以向各个方向发射不同速度、质量为m的电子.若极板长为L,间距为d,当A、B板加上电压U时,只有某一速度的电子能从细管C水平射出,细管C离两板等距.已知元电荷为e,则从放射源O发射出的电子的这一速度为( )A.
B.
C.
D.
【答案】分析:当A、B板加上电压U时,只有某一速度的电子能从细管C水平射出,逆过来看,该粒子做类平抛运动,通过类平抛运动求出粒子的末速度,即为放射源O发射出的电子的速度.
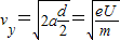
解答:解:将从细管C水平射出的电子逆过来看,时类平抛运动,则有:水平方向上:L=vt,竖直方向上
,
a=
,联立解得:
,而
,所以:
v=
.故C正确,A、B、D错误.
故选C.
点评:本题采取逆向思维,关键掌握求解类平抛运动的方法,类平抛运动在水平方向上做匀速直线运动,在竖直方向上做初速度为零的匀加速直线运动.
解答:解:将从细管C水平射出的电子逆过来看,时类平抛运动,则有:水平方向上:L=vt,竖直方向上
a=
v=
故选C.
点评:本题采取逆向思维,关键掌握求解类平抛运动的方法,类平抛运动在水平方向上做匀速直线运动,在竖直方向上做初速度为零的匀加速直线运动.
练习册系列答案
相关题目