题目内容
高空遥感卫星在距地球表面高度为h处绕地球做匀速圆周运动.如果已知地球半径为R,地球表面重力加速度为g,试求:(1)人造卫星的线速度;
(2)人造卫星绕地球转动的周期;
(3)人造卫星的向心加速度.
【答案】分析:地球表面的物体所受重力和物体受到地球的万有引力相等,卫星运行时受到的万有引力提供向心力,联列根据圆周运动的物理量之间的关系可得结论.
解答:解:(1)设地球质量为M,人造地球卫星的质量为 m.在地球表面由重力等于万有引力得:
①
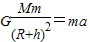
对人造地球卫星受到地球的万有引力提供圆周运动的向心力得:
②
由①和②式可解得:

(2)周期为卫星绕地球一周的时间,则据线速度定义:
得:
所以有:
(3)由万有引力提供向心力
得:

答:(1)人造卫星的线速度
;
(2)人造卫星绕地球转动的周期T=
;
(3)人造卫星的向心加速度
.
点评:万有引力定律常用方程有(1)星球表面的重力和万有引力相等;(2)环绕天体受到的万有引力提供向心力.这是解决这类问题常用的方程,要注意环绕天体运动半径的表述.
解答:解:(1)设地球质量为M,人造地球卫星的质量为 m.在地球表面由重力等于万有引力得:
对人造地球卫星受到地球的万有引力提供圆周运动的向心力得:
由①和②式可解得:
(2)周期为卫星绕地球一周的时间,则据线速度定义:
所以有:
(3)由万有引力提供向心力
答:(1)人造卫星的线速度
(2)人造卫星绕地球转动的周期T=
(3)人造卫星的向心加速度
点评:万有引力定律常用方程有(1)星球表面的重力和万有引力相等;(2)环绕天体受到的万有引力提供向心力.这是解决这类问题常用的方程,要注意环绕天体运动半径的表述.
练习册系列答案
相关题目