题目内容

我国自行研制发射的“风云一号”、“风云二号”气象卫星的飞行轨道是不同的.“风云一号”是极地圆形轨道卫星,其轨道平面与赤道平面垂直,周期为“风云二号”是同步轨道卫星,其轨道平面在赤道平面,周期

(1)试判断两颗卫星,哪颗离地面较高?哪颗运行速度较大?哪颗观察地球的范围较大?

(2)若某天上午8点“风云一号”正好通过赤道附近太平洋一个小岛上空,那么“风云一号”下次通过该小岛上空将在什么时刻?

答案:略
解析:

(1)“风云一号”离地面高;“风云一号”运行速度大;“风云一号”观察范围大;(2)第二天上午8时,

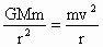
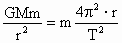
(1)设地球质量为M,卫星的质量为m,运行周期为T,轨道半径为r,由得:  ①

得:  ②

由①式知“风云二号”离地面高,由②式知“风云一号”运行速度大.由于“风云二号”是地球同步卫星,只能观察地面一个固定区域,而“风云一号”轨道平面与赤道平面垂直,由于地球自转,可以观察到地球上任一地点,观察范围大.

(2)若某天上午8时“风云一号”正好通过赤道上某岛上空,经过6小时,卫星在原位置对面再通过赤道,而小岛随地球自转,卫星观察不到小岛,再经过6小时,卫星到了原位置过赤道,而小岛在其原位置的对面,卫星仍观察不到小岛,当再过12小时,卫星才能到达小岛上空,即是第二天上午8时.


练习册系列答案
相关题目

违法和不良信息举报电话:027-86699610 举报邮箱:58377363@163.com

精英家教网