题目内容

如图所示,一半径为R的透明圆柱体放在水平面上,AOB为透明圆柱体的截面,一束蓝光从AO面的中点沿水平方向射入透明体,经AB弧面折射后,光线射到水平面上的P点,测得OP距离为,则:

(1)画出光路图,并求出透明圆柱体对蓝光的折射率

(2)蓝光从AO面射入到P点的总时间(设空气中光速为c)

答案:
解析:

  (1)如图为光路图

  过C点做OP的垂线,由题意得,,那么

  由于,那么,,因此,

  由,解得,

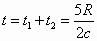
  (2)透明体中,空气中,其中

  求得:


练习册系列答案
相关题目

违法和不良信息举报电话:027-86699610 举报邮箱:58377363@163.com

精英家教网