题目内容
有一条河流,河水流量为4m3/s,落差为5m,现利用它来发电,使用的发电机总效率为50%,发电机输出电压为350V,输电线的电阻为4Ω,允许输电线上损耗功率为发电机输出功率的5%,而用户所需要电压为220V,求所用的升压、降压变压器上原、副线圈的匝数比.变压器为理想变压器输电线路如图所示.
【答案】分析:根据发电机的效率求出发电机的输出功率,再根据输电线上损失的功率P损=I2R求出输电线上的电流,由P=UI得出升压变压器的电压,根据电压之比等于线圈的匝数比得出升压变压器的原副线圈匝数比.
根据输电线上的电流求出输电线上的电压损失,从而得出降压变压器的输入电压,根据原副线圈的电压比得出降压变压器的匝数比.
解答:解:发电机的输出功率
W=1×105W.

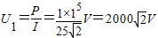
代入数据得,输电线上的电流
则升压变压器的输出电压
则升压变压器的匝数比
输电线上的电压损失
则输入降压变压器的电压
升压降压变压器的匝数比
故升压变压器和降压变压器原副线圈的匝数比分别为1:8,12:1.
点评:解决本题的关键知道原副线圈的匝数比等于原副线圈的电压比,以及掌握输电线上损失的功率P损=I2R.
根据输电线上的电流求出输电线上的电压损失,从而得出降压变压器的输入电压,根据原副线圈的电压比得出降压变压器的匝数比.
解答:解:发电机的输出功率
代入数据得,输电线上的电流
则升压变压器的输出电压
则升压变压器的匝数比
输电线上的电压损失
则输入降压变压器的电压
升压降压变压器的匝数比
故升压变压器和降压变压器原副线圈的匝数比分别为1:8,12:1.
点评:解决本题的关键知道原副线圈的匝数比等于原副线圈的电压比,以及掌握输电线上损失的功率P损=I2R.
练习册系列答案
相关题目