题目内容

(16分)如图所示,在xoy平面的第四象限内存在沿y轴正方向的匀强磁场,场强大小为E,第一象限存在一有界匀强磁场,方向垂直于xoy平面向里,磁感应强度为B,磁场上边界与x轴正向夹角θ=30°,直线MN与y轴平行,N点坐标为(L,0),现从MN上的P点无初速度释放质量为m,电荷量为q的带正电粒子,不计粒子的重力,求:

(1)若粒子进入磁场后将垂直于上边界射出磁场,求PN之间的距离;

(2)若粒子进入磁场后能再次回到电场中,则PN之间的距离应满足什么条件?

 

【答案】

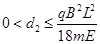
(1)(2)PN之间的距离应满足:

【解析】

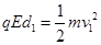
试题分析:(1)(7分)粒子在电场中做匀加速直线运动,设PN之间的距离为d1,进入磁场时的速度大小为v1,

由运动定理得:       (2分)

进入磁场后做匀速圆运动,轨迹如图所示,

由题意知:轨道半径R1=ON=L        (2分)

由向心力公式得:        (2分)

联立以上各式解得:          (1分)

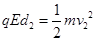
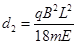
(2) (9分)粒子能再次回到电场的临界情况是粒子运动轨迹恰与磁场上边界相切,轨迹如图所示,设轨道半径为R2,此情况下PN之间的距离为d2,粒子进入磁场时的速度大小为v2,

由几何关系可得:     (2分)

由动能定理得:      (2分)

由向心力公式得:    (2分)

联立以上各式解得:      (2分)

故粒子能再次回到电场中,PN之间的距离应满足:(1分)

解决此类问题的关键的画好带电粒子在电场和磁场中运动轨迹,尤其是在磁场中的圆心的确定。

考点:粒子在电场和磁场中的运动规律 匀加速直线运动规律 匀速圆周运动规律

 

练习册系列答案
相关题目

违法和不良信息举报电话:027-86699610 举报邮箱:58377363@163.com

精英家教网