题目内容

如图所示,第II象限中存在竖直向下的匀强电场,在x轴的下方L处存在一个处置纸面向外的单边界匀强磁场。今有一个电量为+q、质量为m的粒子(不计重力)从A点处以速度V0水平射入电场,恰好从坐标原点O处飞出,运动一段时间之后进入匀强磁场,并在磁场中经过P点()。求:

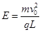
(1)平行板间的电场强度的大小;

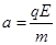
(2)匀强磁场的磁感应强度的大小;

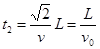
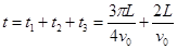
(3)粒子从A点运动到P点的时间。

 

【答案】

(1) ,(2) ,(3)

【解析】

试题分析:(1)电场中,类平抛。

水平: 

竖直:  

且:   

联立得:(1分)

(2)飞出电场瞬间竖直速度 

 

(2分)

粒子进入以450进入磁场,轨迹如图示。

由几何关系可得:(2分)

(2分)

(3)由(1)可知电场中运动时间: (不计分)

出电场到磁场匀速直线运动用时:(2分)

磁场中用时:(2分)

总用时:(2分)

考点:电场和磁场的复合场。

 

练习册系列答案
相关题目

违法和不良信息举报电话:027-86699610 举报邮箱:58377363@163.com

精英家教网