ÌâÄ¿ÄÚÈÝ
£¨1£©ÈôСÇòÉÏÅ׵ijõËÙ¶ÈΪ10m/s£¬¾¹ý¶à³¤Ê±¼ä´Ó¹ÜµÄN¶Ë´©³ö£¿
£¨2£©Èô´Ë¿Õ¹ÜµÄN¶Ë¾àÀëµØÃæ64m¸ß£¬ÓûʹÔڿչܵ½´ïµØÃæÊ±Ð¡Çò±ØÐëÂäµ½¹ÜÄÚ£¬ÔÚÆäËûÌõ¼þ²»±äµÄǰÌáÏ£¬ÇóСÇòµÄ³õËÙ¶Èv´óСµÄ·¶Î§£®
¡¾´ð°¸¡¿·ÖÎö£º£¨1£©¶ÔÓÚÕâÀàÏà¶ÔÔ˶¯ÎÊÌâ×¢ÒâÑ¡Ôñ²ÎÕÕϵ£¬ÒÔµØÃæÎª²ÎÕÕϵ£¬¶þÕß¾ù×öÔȱäËÙÖ±ÏßÔ˶¯£¬×îºóСÇò´©³öʱ£¬¶þÕßÎ»ÒÆ²îΪ¹Ü³¤L£¬¾Ý´ËÁз½³Ì¿ÉÕýÈ·Çó½â£®
£¨2£©Ð¡ÇòÏÂÂäʱ£¬Òª±£Ö¤ÂäÈë¿Õ¹Ü¾ÍÒªÔÚ¿Õ¹ÜÏÂÂäµÄʱ¼äÄÚÆäÎ»ÒÆ´óÓÚ64m£¬Í¬Ê±»¹ÒªÒªÇóÔÚÏÂÂäÆÚ¼ä£¬Ð¡Çò²»ÄÜÌáǰÂ䵨£¬¼´Ð¡ÓÚh+L=88m£¬¾Ý´ËÁз½³Ì¼´¿É½â´ð£®
½â´ð£º½â£º£¨1£©ÒÔÏòÏ·½ÏòΪÕý·½Ïò£®
¶Ô¿Õ¹Ü£¬ÓÉÅ£¶ÙµÚ¶þ¶¨Âɿɵ㺣ºmg-F=ma£¬µÃ£ºa=2m/s2
Éè¾tʱ¼ä£¬Ð¡Çò´ÓN¶Ë´©³ö£¬Ð¡ÇòÏÂÂäµÄ¸ß¶È£º

¿Õ¹ÜÏÂÂäµÄ¸ß¶È£º

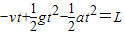
Ôò£¬h1-h2=L
ÁªÁ¢µÃ£º

´úÈëÊý¾Ý½âµÃ£ºt=4s£¬t=-1.5s£¨Éᣩ
¹ÊСÇò¾¹ý4sʱ¼ä´Ó¹ÜÄÚ´©³ö£®
£¨2£©ÉèСÇò³õËÙ¶Èv£¬¿Õ¹Ü¾t'ʱ¼äµ½´ïµØÃ棬Ôò£º
£¬µÃ£º
СÇòÔÚt¡äʱ¼äÏÂÂä¸ß¶ÈΪ£º

СÇòÂäÈë¹ÜÄÚµÄÌõ¼þÊÇ£º64m¡Üh¡Ü88m
½âµÃ£º29m/s¡Üv¡Ü32m/s
ËùÒÔСÇòµÄ³õËÙ¶È´óС±ØÐëÔÚ29m/sµ½32m/s·¶Î§ÄÚ£®
¹ÊСÇòËٶȵķ¶Î§Îª£º29m/s¡Üv¡Ü32m/s£®
µãÆÀ£º±¾ÌâÓÐÒ»¶¨µÄÄѶȣ¬¿¼²éÁ˶àÎïÌå¶à¹ý³ÌÎÊÌ⣬ֻҪ°ÑÎÕÁËÁ½ÎïÌåÖ®¼äµÄÎ»ÒÆ¹ØÏµ£¬¾ÍÕÒµ½Á˽â¾öÎÊÌâµÄÍ»ÆÆ¿Ú£®
£¨2£©Ð¡ÇòÏÂÂäʱ£¬Òª±£Ö¤ÂäÈë¿Õ¹Ü¾ÍÒªÔÚ¿Õ¹ÜÏÂÂäµÄʱ¼äÄÚÆäÎ»ÒÆ´óÓÚ64m£¬Í¬Ê±»¹ÒªÒªÇóÔÚÏÂÂäÆÚ¼ä£¬Ð¡Çò²»ÄÜÌáǰÂ䵨£¬¼´Ð¡ÓÚh+L=88m£¬¾Ý´ËÁз½³Ì¼´¿É½â´ð£®
½â´ð£º½â£º£¨1£©ÒÔÏòÏ·½ÏòΪÕý·½Ïò£®
¶Ô¿Õ¹Ü£¬ÓÉÅ£¶ÙµÚ¶þ¶¨Âɿɵ㺣ºmg-F=ma£¬µÃ£ºa=2m/s2
Éè¾tʱ¼ä£¬Ð¡Çò´ÓN¶Ë´©³ö£¬Ð¡ÇòÏÂÂäµÄ¸ß¶È£º
¿Õ¹ÜÏÂÂäµÄ¸ß¶È£º
Ôò£¬h1-h2=L
ÁªÁ¢µÃ£º
´úÈëÊý¾Ý½âµÃ£ºt=4s£¬t=-1.5s£¨Éᣩ
¹ÊСÇò¾¹ý4sʱ¼ä´Ó¹ÜÄÚ´©³ö£®
£¨2£©ÉèСÇò³õËÙ¶Èv£¬¿Õ¹Ü¾t'ʱ¼äµ½´ïµØÃ棬Ôò£º
СÇòÔÚt¡äʱ¼äÏÂÂä¸ß¶ÈΪ£º
СÇòÂäÈë¹ÜÄÚµÄÌõ¼þÊÇ£º64m¡Üh¡Ü88m
½âµÃ£º29m/s¡Üv¡Ü32m/s
ËùÒÔСÇòµÄ³õËÙ¶È´óС±ØÐëÔÚ29m/sµ½32m/s·¶Î§ÄÚ£®
¹ÊСÇòËٶȵķ¶Î§Îª£º29m/s¡Üv¡Ü32m/s£®
µãÆÀ£º±¾ÌâÓÐÒ»¶¨µÄÄѶȣ¬¿¼²éÁ˶àÎïÌå¶à¹ý³ÌÎÊÌ⣬ֻҪ°ÑÎÕÁËÁ½ÎïÌåÖ®¼äµÄÎ»ÒÆ¹ØÏµ£¬¾ÍÕÒµ½Á˽â¾öÎÊÌâµÄÍ»ÆÆ¿Ú£®
Á·Ï°²áϵÁдð°¸
Ïà¹ØÌâÄ¿