题目内容
如图,直线MN上方有平行于纸面且与MN成45°的有界匀强电场,电场强度大小为E;MN下方为方向垂直于纸面向里的有界匀强磁场,磁感应强度大小未知.今从MN上的O点向磁场中射入一个速度大小为v、方向与MN成45°角的带正电粒子,该粒子在磁场中运动时的轨道半径为R.若该粒子从O点进入磁场后第三次经过直线MN后又恰好通过O点.不计粒子的重力.求:(1)粒子第三次经过直线MN时的位置;
(2)磁感应强度大小;
(3)粒子从O点出发到再次回到O点所需的时间.
【答案】分析:粒子在磁场中受洛伦兹力作用下做一段圆弧后,进入电场中恰好做匀减速运动直到速度为零后又返回,以相同速率再次进入磁场仍在洛伦兹力作用下又做一段圆弧后,再次进入电场正好做类平抛运动.粒子在磁场中两次运动刚好完成一个周期,则粒子第三次经过直线MN时的位置,就是这两段圆弧对应弦长的两倍.
由粒子在电场中的类平抛运动,垂直电场方向位移与速度关系;沿电场方向位移与时间关系,从而借助于电场强度来求出磁感应强度大小.
解答:
解:粒子的运动轨迹如图,先是一段半径为R的
圆弧到a点,接着恰好逆电场线匀减速运动到b点速度为零再返回a点速度仍为v,再在磁场中运动一段
圆弧到c点,之后垂直电场线进入电场作类平抛运动.
(1)由图可知:
因此
即距离O 点
(1)
(2)粒子在电场中运动时垂直和平行电场方向的位移都为
s⊥=s∥=ocsin45°=2R (2)
所以类平抛运动时间为
(3)
又
(4)
再有
(5)
由③④⑤⑥⑦可得
(6)
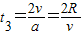
(3)粒子在磁场中运动的总时间为
(7)
粒子在电场中的加速度为
(8)
粒子在电场中做直线运动所需时间为
(9)
由(4)(9)(7)得粒子从出发到再到达O点所需时间

点评:本题考查带电粒子在电场、磁场中两运动模型:匀速圆周运动与类平抛运动,及相关的综合分析能力,以及空间想像的能力,应用数学知识解决物理问题的能力.
由粒子在电场中的类平抛运动,垂直电场方向位移与速度关系;沿电场方向位移与时间关系,从而借助于电场强度来求出磁感应强度大小.
解答:
(1)由图可知:
因此
(2)粒子在电场中运动时垂直和平行电场方向的位移都为
s⊥=s∥=ocsin45°=2R (2)
所以类平抛运动时间为
又
再有
由③④⑤⑥⑦可得
(3)粒子在磁场中运动的总时间为
粒子在电场中的加速度为
粒子在电场中做直线运动所需时间为
由(4)(9)(7)得粒子从出发到再到达O点所需时间
点评:本题考查带电粒子在电场、磁场中两运动模型:匀速圆周运动与类平抛运动,及相关的综合分析能力,以及空间想像的能力,应用数学知识解决物理问题的能力.
练习册系列答案
相关题目