ÌâÄ¿ÄÚÈÝ
ÈçͼËùʾ£¬³¤¶ÈΪL=0.9m¡¢ÖÊÁ¿Îªm=1kgµÄľ°åQ·ÅÔÚ´Ö²ÚµÄË®Æ½ÃæÉÏ£¬QµÄÉϱíÃæºÍÁ½¸ö°ë¾¶ÎªR=0.2mµÄ£¨1£©P¡¢QÖ®¼äµÄ¶¯Ä¦²ÁÒòÊý£»
£¨2£©´Ë¹ý³ÌÖÐË®Æ½Ãæ¶ÔQµÄĦ²ÁÁ¦Ëù×öµÄ¹¦£»
£¨3£©P×îÖÕֹͣλÖõ½ÓÒÔ²»¡µ×¶ËµÄ¾àÀ룮
¡¾´ð°¸¡¿·ÖÎö£º£¨1£©¸ù¾Ý¶¯Äܶ¨Àí·Ö±ðÇó³öPÔÚ×óÔ²»¡×îµ×¶ËµÄËٶȺÍÓÒÔ²»¡×îµ×¶ËµÄËÙ¶È£¬¶ÔPÔÚQÉÏ»¬¶¯ÔËÓö¯Äܶ¨ÀíÇó³öP¡¢QÖ®¼äµÄ¶¯Ä¦²ÁÒòÊý£®
£¨2£©PÔÚQÉÏÏòÓÒ×öÔȼõËÙÔ˶¯£¬QÏòÓÒ×öÔȼÓËÙÔ˶¯£¬¸ù¾ÝÅ£¶ÙµÚ¶þ¶¨ÂÉ£¬½áºÏÔ˶¯Ñ§¹«Ê½Çó³öQÓëµØÃæµÄĦ²ÁÁ¦£¬´Ó¶øÇó³öĦ²ÁÁ¦¶ÔQËù×öµÄ¹¦£®
£¨3£©Çó³öP´Ó×óÔ²»¡×îµ×¶ËÔ˶¯µ½ÓÒÔ²»¡×îµ×¶Ë¶¯ÄܵļõСÁ¿£¬·ÖÎö³öС»¬¿é´ÓÓÒÔ²»¡×îµ×¶Ë²»Äܵ½´ï×óÔ²»¡×îµ×¶Ë£®ÔÙ½áºÏÅ£¶ÙµÚ¶þ¶¨ÂɺÍÔ˶¯Ñ§¹«Ê½Çó³öPQ´ïµ½¹²Í¬ËÙ¶ÈËùÐèµÄʱ¼äºÍËÙ¶È£¬ÅжϳöQµÄÎ»ÒÆ´óÓÚ0.1m£¬²»ÄÜ´ïµ½¹²Í¬ËÙ¶È£¬QÏò×óÔ˶¯0.1mÓë×ó±ÚÅöײ¶øÍ£Ö¹Ô˶¯£¬½áºÏËÙ¶ÈÎ»ÒÆ¹«Ê½Çó³öPµÄÎ»ÒÆ£¬´Ó¶øÈ·¶¨³öP×îÖÕֹͣλÖõ½ÓÒÔ²»¡µ×¶ËµÄ¾àÀ룮
½â´ð£º½â£ºÉèQÓëË®Æ½Ãæ¼äµÄ¶¯Ä¦²ÁÒòÊýΪ¦Ì1£¬P¡¢Q¼äµÄ¶¯Ä¦²ÁÒòÊýΪ¦Ì2
£¨1£©ÉèPµ½×óÔ²»¡×îµ×¶ËµÄËÙ¶ÈΪv1£¬¶ÔP´Ó¿ªÊ¼Ô˶¯µ½×óÔ²»¡×îµ×¶ËÓ¦Óö¯Äܶ¨ÀíÓУº

½âµÃv1=3m/s£®
ÉèPµ½ÓÒÔ²»¡×îµ×¶ËµÄËÙ¶ÈΪv2£¬ÒòΪP»¬ÉÏÓÒÔ²»¡¹ìµÀÇ¡ÄÜ»¬µ½×î¸ßµã£¬Ôڴ˹ý³ÌÖУ¬¶ÔPÓ¦Óö¯Äܶ¨ÀíÓУº

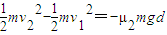
PÔÚQÉÏ»¬¶¯£¬¶ÔPÓ¦Óö¯Äܶ¨ÀíÓУº
ÁªÁ¢½âµÃv2=2m/s£¬¦Ì2=0.25£®
£¨2£©PÔÚQÉÏÏòÓÒ×öÔȼõËÙÔ˶¯£¬PµÄ¼ÓËÙ¶È´óСΪa1=¦Ì2g£¬·½ÏòÏò×ó
QÏòÓÒ×öÔȼÓËÙÔ˶¯£¬¼ÓËÙ¶È´óСΪ
£¬·½ÏòÏòÓÒ£®
ÉèPÔÚQÉÏÔ˶¯µÄʱ¼äΪt1£¬Ó¦ÓÃÔ˶¯Ñ§¹«Ê½¿ÉÖª£¬
£®
¶ÔQÓÐd-L=
£¬Ë®Æ½Ãæ¶ÔQµÄĦ²ÁÁ¦×ö¹¦ÎªWf=-¦Ì1£¨2m£©g£¨d-L£©
ÁªÁ¢½âµÃ£º
£¬¦Ì1=0.0625£¬Wf=-0.125J£®
£¨3£©PµÚÒ»´Î´Ó×óÔ²»¡×îµ×¶Ëµ½ÓÒÔ²»¡×îµ×¶ËÊܵ½µÄ×÷ÓÃÁ¦²»±ä£¬¸ù¾Ý¶¯Äܶ¨Àí¿ÉÖª£¬¶¯ÄܼõСÁ¿¡÷Ek=¦Ì2mgd=2.5J£®
¼ÙÉèPÄÜ´ÓÓÒÔ²»¡×îµ×¶Ëµ½×óÔ²»¡×îµ×¶Ë£¬µ½µ×¶ËʱµÄ¶¯ÄÜΪ
£¼0£®
˵Ã÷С»¬¿é´ÓÓÒÔ²»¡×îµ×¶Ë²»Äܵ½´ï×óÔ²»¡×îµ×¶Ë£®
¼ÙÉèP¡¢Q¿É´ïµ½¹²Í¬ËÙ¶Èv3£¬Ðèʱ¼ät£¬ÔòÓУºv3=v2-a1t=a2t£®
½âµÃ
£¬t=
£®
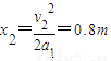
Ôڴ˹ý³ÌÖÐQµÄÔ˶¯Î»ÒÆ
£¬ËµÃ÷P¡¢Q²»¿ÉÄÜ´ïµ½¹²Í¬ËÙ¶È£¬QÏò×óÔ˶¯0.1mÓë×ó±ÚÅöײ¶øÍ£Ö¹Ô˶¯£¬PÏò×óÔ˶¯Î»ÒÆ
Í£Ö¹Ô˶¯£¬P×îÖÕֹͣλÖõ½ÓÒÔ²»¡µ×¶ËµÄ¾àÀëΪ0.8m£®
´ð£º£¨1£©P¡¢QÖ®¼äµÄ¶¯Ä¦²ÁÒòÊýΪ0.25£®
£¨2£©´Ë¹ý³ÌÖÐË®Æ½Ãæ¶ÔQµÄĦ²ÁÁ¦Ëù×öµÄ¹¦Îª-0.125J£®
£¨3£©P×îÖÕֹͣλÖõ½ÓÒÔ²»¡µ×¶ËµÄ¾àÀëΪ0.8m£®
µãÆÀ£º½â¾ö±¾ÌâµÄ¹Ø¼üÀíÇåP¡¢QµÄÔ˶¯Çé¿ö£¬½áºÏ¶¯Äܶ¨Àí¡¢Å£¶ÙµÚ¶þ¶¨ÂɺÍÔ˶¯Ñ§¹«Ê½½øÐÐÇó½â£®
£¨2£©PÔÚQÉÏÏòÓÒ×öÔȼõËÙÔ˶¯£¬QÏòÓÒ×öÔȼÓËÙÔ˶¯£¬¸ù¾ÝÅ£¶ÙµÚ¶þ¶¨ÂÉ£¬½áºÏÔ˶¯Ñ§¹«Ê½Çó³öQÓëµØÃæµÄĦ²ÁÁ¦£¬´Ó¶øÇó³öĦ²ÁÁ¦¶ÔQËù×öµÄ¹¦£®
£¨3£©Çó³öP´Ó×óÔ²»¡×îµ×¶ËÔ˶¯µ½ÓÒÔ²»¡×îµ×¶Ë¶¯ÄܵļõСÁ¿£¬·ÖÎö³öС»¬¿é´ÓÓÒÔ²»¡×îµ×¶Ë²»Äܵ½´ï×óÔ²»¡×îµ×¶Ë£®ÔÙ½áºÏÅ£¶ÙµÚ¶þ¶¨ÂɺÍÔ˶¯Ñ§¹«Ê½Çó³öPQ´ïµ½¹²Í¬ËÙ¶ÈËùÐèµÄʱ¼äºÍËÙ¶È£¬ÅжϳöQµÄÎ»ÒÆ´óÓÚ0.1m£¬²»ÄÜ´ïµ½¹²Í¬ËÙ¶È£¬QÏò×óÔ˶¯0.1mÓë×ó±ÚÅöײ¶øÍ£Ö¹Ô˶¯£¬½áºÏËÙ¶ÈÎ»ÒÆ¹«Ê½Çó³öPµÄÎ»ÒÆ£¬´Ó¶øÈ·¶¨³öP×îÖÕֹͣλÖõ½ÓÒÔ²»¡µ×¶ËµÄ¾àÀ룮
½â´ð£º½â£ºÉèQÓëË®Æ½Ãæ¼äµÄ¶¯Ä¦²ÁÒòÊýΪ¦Ì1£¬P¡¢Q¼äµÄ¶¯Ä¦²ÁÒòÊýΪ¦Ì2
£¨1£©ÉèPµ½×óÔ²»¡×îµ×¶ËµÄËÙ¶ÈΪv1£¬¶ÔP´Ó¿ªÊ¼Ô˶¯µ½×óÔ²»¡×îµ×¶ËÓ¦Óö¯Äܶ¨ÀíÓУº
½âµÃv1=3m/s£®
ÉèPµ½ÓÒÔ²»¡×îµ×¶ËµÄËÙ¶ÈΪv2£¬ÒòΪP»¬ÉÏÓÒÔ²»¡¹ìµÀÇ¡ÄÜ»¬µ½×î¸ßµã£¬Ôڴ˹ý³ÌÖУ¬¶ÔPÓ¦Óö¯Äܶ¨ÀíÓУº
PÔÚQÉÏ»¬¶¯£¬¶ÔPÓ¦Óö¯Äܶ¨ÀíÓУº
ÁªÁ¢½âµÃv2=2m/s£¬¦Ì2=0.25£®
£¨2£©PÔÚQÉÏÏòÓÒ×öÔȼõËÙÔ˶¯£¬PµÄ¼ÓËÙ¶È´óСΪa1=¦Ì2g£¬·½ÏòÏò×ó
QÏòÓÒ×öÔȼÓËÙÔ˶¯£¬¼ÓËÙ¶È´óСΪ
ÉèPÔÚQÉÏÔ˶¯µÄʱ¼äΪt1£¬Ó¦ÓÃÔ˶¯Ñ§¹«Ê½¿ÉÖª£¬
¶ÔQÓÐd-L=
ÁªÁ¢½âµÃ£º
£¨3£©PµÚÒ»´Î´Ó×óÔ²»¡×îµ×¶Ëµ½ÓÒÔ²»¡×îµ×¶ËÊܵ½µÄ×÷ÓÃÁ¦²»±ä£¬¸ù¾Ý¶¯Äܶ¨Àí¿ÉÖª£¬¶¯ÄܼõСÁ¿¡÷Ek=¦Ì2mgd=2.5J£®
¼ÙÉèPÄÜ´ÓÓÒÔ²»¡×îµ×¶Ëµ½×óÔ²»¡×îµ×¶Ë£¬µ½µ×¶ËʱµÄ¶¯ÄÜΪ
˵Ã÷С»¬¿é´ÓÓÒÔ²»¡×îµ×¶Ë²»Äܵ½´ï×óÔ²»¡×îµ×¶Ë£®
¼ÙÉèP¡¢Q¿É´ïµ½¹²Í¬ËÙ¶Èv3£¬Ðèʱ¼ät£¬ÔòÓУºv3=v2-a1t=a2t£®
½âµÃ
Ôڴ˹ý³ÌÖÐQµÄÔ˶¯Î»ÒÆ
´ð£º£¨1£©P¡¢QÖ®¼äµÄ¶¯Ä¦²ÁÒòÊýΪ0.25£®
£¨2£©´Ë¹ý³ÌÖÐË®Æ½Ãæ¶ÔQµÄĦ²ÁÁ¦Ëù×öµÄ¹¦Îª-0.125J£®
£¨3£©P×îÖÕֹͣλÖõ½ÓÒÔ²»¡µ×¶ËµÄ¾àÀëΪ0.8m£®
µãÆÀ£º½â¾ö±¾ÌâµÄ¹Ø¼üÀíÇåP¡¢QµÄÔ˶¯Çé¿ö£¬½áºÏ¶¯Äܶ¨Àí¡¢Å£¶ÙµÚ¶þ¶¨ÂɺÍÔ˶¯Ñ§¹«Ê½½øÐÐÇó½â£®
Á·Ï°²áϵÁдð°¸
Ïà¹ØÌâÄ¿